Online Database of Chemicals from Around the World

吐叶醇9-O-吡喃葡萄糖基-4-O-吡喃木糖基-6-O-吡喃葡萄糖苷
[CAS# 141947-49-1]

供应商
CAS#: 141947-49-1
产品: 吐叶醇9-O-吡喃葡萄糖基-4-O-吡喃木糖基-6-O-吡喃葡萄糖苷
暂时没有厂家供应该产品。
基本信息
产品名称 吐叶醇9-O-吡喃葡萄糖基-4-O-吡喃木糖基-6-O-吡喃葡萄糖苷
英文名 Vomifoliol 9-O-glucopyranosyl-4-O-xylopyranosyl-6-O-glucopyranoside
别名 (4R)-4-Hydroxy-4-[(E,3S)-3-[(2R,3R,4S,5R,6R)-5-Hydroxy-6-(Hydroxymethyl)-4-[(2S,3R,4S,5S,6R)-3,4,5-Trihydroxy-6-(Hydroxymethyl)Tetrahydropyran-2-Yl]Oxy-3-[(2S,3R,4S,5R)-3,4,5-Trihydroxytetrahydropyran-2-Yl]Oxy-Tetrahydropyran-2-Yl]Oxybut-1-Enyl]-3,5,5-Trimethyl-Cyclohex-2-En-1-One; (4R)-4-Hydroxy-4-[(E,3S)-3-[[(2R,3R,4S,5R,6R)-5-Hydroxy-6-(Hydroxymethyl)-4-[[(2S,3R,4S,5S,6R)-3,4,5-Trihydroxy-6-(Hydroxymethyl)-2-Tetrahydropyranyl]Oxy]-3-[[(2S,3R,4S,5R)-3,4,5-Trihydroxy-2-Tetrahydropyranyl]Oxy]-2-Tetrahydropyranyl]Oxy]But-1-Enyl]-3,5,5-Trimethyl-1-Cyclohex-2-Enone; (4R)-4-Hydroxy-4-[(E,3S)-3-[(2R,3R,4S,5R,6R)-5-Hydroxy-6-Methylol-4-[(2S,3R,4S,5S,6R)-3,4,5-Trihydroxy-6-Methylol-Tetrahydropyran-2-Yl]Oxy-3-[(2S,3R,4S,5R)-3,4,5-Trihydroxytetrahydropyran-2-Yl]Oxy-Tetrahydropyran-2-Yl]Oxybut-1-Enyl]-3,5,5-Trimethyl-Cyclohex-2-En-1-One
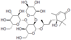
分子结构 CAS 登录号:141947-49-1, 吐叶醇9-O-吡喃葡萄糖基-4-O-吡喃木糖基-6-O-吡喃葡萄糖苷
分子式 C30H48O17
分子量 680.70
CAS 登录号 141947-49-1
分子行输入简码 SMILES [C@@H]3(O[C@@H]1O[C@@H]([C@@H](O)[C@H](O)[C@H]1O)CO)[C@@H](O[C@@H]2OC[C@@H](O)[C@H](O)[C@H]2O)[C@@H](O[C@@H]([C@H]3O)CO)O[C@H](/C=C/[C@@]4(O)C(CC(=O)C=C4C)(C)C)C
国际化学标识码 InChI 1S/C30H48O17/c1-12-7-14(33)8-29(3,4)30(12,41)6-5-13(2)43-28-25(47-26-22(39)18(35)15(34)11-42-26)24(20(37)17(10-32)45-28)46-27-23(40)21(38)19(36)16(9-31)44-27/h5-7,13,15-28,31-32,34-41H,8-11H2,1-4H3/b6-5+/t13-,15+,16+,17+,18-,19+,20+,21-,22+,23+,24-,25+,26-,27-,28+,30-/m0/s1
国际化学标识检索码 InChIKey FSMCENROPHFZLO-MANJNOIDSA-N
物理化学性质
密度 1.528g/cm3 (计算值)
沸点 919.754°C at 760 mmHg (计算值)
闪点 290.249°C (计算值)
市场分析报告
请浏览吐叶醇9-O-吡喃葡萄糖基-4-O-吡喃木糖基-6-O-吡喃葡萄糖苷市场分析报告总目录
相关产品
3-[(2Z,4Z,6E,8E)-1-羟基-3,7...  叠氮基苯丙氨酰-半胱氨酰-酪氨酰-色氨酰-赖氨酰-...  (2S)-N-[2-[(2-氨基-2-甲基丙烷酰基...  3-(3-二甲基氨基丙基)-2-苯基-1,3-噻唑...  1,7-二乙基-6-甲基-2,2-二氧代吡嗪并[2...  O-仲-丁基二硫代碳酸钾  甲基(2R)-2-氨基-5-[(氨基-硝酰胺基亚甲...  1,3-二丁基-2-乙氧基-4,5-二甲基-1,3...  1,3-二丁基-N,N-二乙基-4,5-二甲基-1...  1,3-二丁基-2-氯-4,5-二甲基-1,3,2...  8-甲氧基-2,3-二氢-1H-吡咯并[2,1-b...  N-(1-氮杂双环(2.2.2)辛烷-3-基)-8...  1-甲基-2-(alpha-甲基苯乙基)肼  N-烯丙基去甲美他唑新  10-(2-二乙基氨基乙基)-1,4-二羟基吖啶-...