Online Database of Chemicals from Around the World

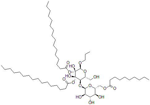
[(2S,3R,4R,5R,6R)-5-[(2R,3R,4S,5S,6R)-6-(癸酰氧基甲基)-3,4,5-三羟基四氢吡喃-2-基]氧基-3-棕榈酰氧基-3,4-二羟基-6-(羟基甲基)-2-丙氧基四氢吡喃-4-基]棕榈酸酯
[CAS# 140899-18-9]

供应商
CAS#: 140899-18-9
产品: [(2S,3R,4R,5R,6R)-5-[(2R,3R,4S,5S,6R)-6-(癸酰氧基甲基)-3,4,5-三羟基四氢吡喃-2-基]氧基-3-棕榈酰氧基-3,4-二羟基-6-(羟基甲基)-2-丙氧基四氢吡喃-4-基]棕榈酸酯
暂时没有厂家供应该产品。
基本信息
产品名称 [(2S,3R,4R,5R,6R)-5-[(2R,3R,4S,5S,6R)-6-(癸酰氧基甲基)-3,4,5-三羟基四氢吡喃-2-基]氧基-3-棕榈酰氧基-3,4-二羟基-6-(羟基甲基)-2-丙氧基四氢吡喃-4-基]棕榈酸酯
英文名 [(2S,3R,4R,5R,6R)-5-[(2R,3R,4S,5S,6R)-6-(Decanoyloxymethyl)-3,4,5-Trihydroxyoxan-2-Yl]Oxy-3-Hexadecanoyloxy-3,4-Dihydroxy-6-(Hydroxymethyl)-2-Propoxyoxan-4-Yl] Hexadecanoate
别名 [(2S,3R,4R,5R,6R)-5-[(2R,3R,4S,5S,6R)-6-(Decanoyloxymethyl)-3,4,5-Trihydroxy-Tetrahydropyran-2-Yl]Oxy-3-Hexadecanoyloxy-3,4-Dihydroxy-6-(Hydroxymethyl)-2-Propoxy-Tetrahydropyran-4-Yl] Hexadecanoate; Hexadecanoic Acid [(2S,3R,4R,5R,6R)-3,4-Dihydroxy-6-(Hydroxymethyl)-3-(1-Oxohexadecoxy)-2-Propoxy-5-[[(2R,3R,4S,5S,6R)-3,4,5-Trihydroxy-6-(1-Oxodecoxymethyl)-2-Tetrahydropyranyl]Oxy]-4-Tetrahydropyranyl] Ester; Palmitic Acid [(2S,3R,4R,5R,6R)-5-[(2R,3R,4S,5S,6R)-6-(Capryloxymethyl)-3,4,5-Trihydroxy-Tetrahydropyran-2-Yl]Oxy-3-Hexadecanoyloxy-3,4-Dihydroxy-6-Methylol-2-Propoxy-Tetrahydropyran-4-Yl] Ester
分子结构 CAS 登录号:140899-18-9, [(2S,3R,4R,5R,6R)-5-[(2R,3R,4S,5S,6R)-6-(癸酰氧基甲基)-3,4,5-三羟基四氢吡喃-2-基]氧基-3-棕榈酰氧基-3,4-二羟基-6-(羟基甲基)-2-丙氧基四氢吡喃-4-基]棕榈酸酯
分子式 C57H106O16
分子量 1047.45
CAS 登录号 140899-18-9
分子行输入简码 SMILES [C@]1(OC(=O)CCCCCCCCCCCCCCC)(O)[C@@](OC(=O)CCCCCCCCCCCCCCC)(O)[C@H](O[C@@H]([C@H]1O[C@H]2O[C@@H]([C@@H](O)[C@H](O)[C@H]2O)COC(=O)CCCCCCCCC)CO)OCCC
国际化学标识码 InChI 1S/C57H106O16/c1-5-9-12-15-18-20-22-24-26-28-31-34-37-40-48(60)72-56(65)53(71-54-52(64)51(63)50(62)46(69-54)44-68-47(59)39-36-33-30-17-14-11-7-3)45(43-58)70-55(67-42-8-4)57(56,66)73-49(61)41-38-35-32-29-27-25-23-21-19-16-13-10-6-2/h45-46,50-55,58,62-66H,5-44H2,1-4H3/t45-,46-,50-,51+,52-,53-,54-,55+,56-,57-/m1/s1
国际化学标识检索码 InChIKey QHBIQIGMMLORPZ-BASKQFRRSA-N
物理化学性质
密度 1.122g/cm3 (计算值)
沸点 962.967°C at 760 mmHg (计算值)
闪点 248.194°C (计算值)
市场分析报告
请浏览[(2S,3R,4R,5R,6R)-5-[(2R,3R,4S,5S,6R)-6-(癸酰氧基甲基)-3,4,5-三羟基四氢吡喃-2-基]氧基-3-棕榈酰氧基-3,4-二羟基-6-(羟基甲基)-2-丙氧基四氢吡喃-4-基]棕榈酸酯市场分析报告总目录
相关产品
4-氨基-2-甲氧基-3,5-二甲基苯胺  5-[(3aS,5R,6R,6aS)-6-[(E,...  环戊酮二甲基腙  10-(羟基亚胺)-9,10-二氢蒽-9-酮  2,4-辛烷二酮  (3S,6R,12S,15R)-3-[(2S)-丁...  alpha-[[(3-甲氧基丙基)氨基]甲基]-a...  1-苯基-3-(甲基氨基)-2-丁烯-1-酮  N-[3-甲基-1-[[(1S)-1-(4-甲基苯...  2-[2-(2-氨基-2-氧代乙基)庚酰]-1-羟...  2-[3-[(5,7-二氟-1,3-苯并噻唑-2-...  2-[4-氧代-3-[[5-(三氟甲基)-1,3-...  钙-40  钴-56  Balhimycin