Online Database of Chemicals from Around the World

Fluoromycin
[CAS# 1406-76-4]

Suppliers
CAS#: 1406-76-4
Product: Fluoromycin
No suppilers available for the product.
Identification
Name Fluoromycin
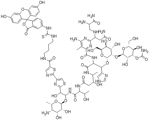
Molecular Structure CAS#: 1406-76-4, Fluoromycin
Molecular Formula C80H102N20O31S3
Molecular Weight 1935.98
CAS Registry Number 1406-76-4
SMILES [C@@H]%11(OC(C(C(NC(C(CC(NC(C(C)O)C(=O)NC(O[C@@H]1O[C@@H](C)[C@@H](N)[C@@H](O)[C@H]1O)C(O)C2=NC(=CS2)C3=NC=C(S3)C(=O)NCCCCNC(=S)NC4=CC=C5C(=C4)C(=O)OC57C6=CC=C(O)C=C6OC8=C7C=CC(=C8)O)=O)O)C)=O)NC(=O)C9=NC(=NC(=C9C)N)C(CC(N)=O)NCC(N)C(N)=O)C%10=C[NH]C=N%10)O[C@@H](CO)[C@@H](O)[C@H](O)[C@@H]%11O[C@H]%12O[C@H](CO)[C@@H](O)[C@H](OC(N)=O)[C@@H]%12O
InChI 1S/C80H102N20O31S3/c1-27-51(97-66(99-64(27)84)39(18-48(82)107)90-20-38(81)65(85)116)68(118)98-53(61(40-21-87-26-92-40)127-77-63(57(112)54(109)45(23-101)126-77)128-76-59(114)62(129-78(86)122)55(110)46(24-102)125-76)70(120)93-28(2)42(106)19-49(108)96-52(29(3)103)69(119)100-71(130-75-58(113)56(111)50(83)30(4)123-75)60(115)73-95-41(25-133-73)72-91-22-47(134-72)67(117)88-13-5-6-14-89-79(132)94-31-7-10-35-34(15-31)74(121)131-80(35)36-11-8-32(104)16-43(36)124-44-17-33(105)9-12-37(44)80/h7-12,15-17,21-22,25-26,28-30,38-39,42,45-46,50,52-63,71,75-77,90,101-106,109-115H,5-6,13-14,18-20,23-24,81,83H2,1-4H3,(H2,82,107)(H2,85,116)(H2,86,122)(H,87,92)(H,88,117)(H,93,120)(H,96,108)(H,98,118)(H,100,119)(H2,84,97,99)(H2,89,94,132)/t28?,29?,30-,38?,39?,42?,45-,46+,50+,52?,53?,54+,55+,56+,57-,58+,59-,60?,61?,62-,63-,71?,75-,76+,77-/m0/s1
InChIKey AIUYAMGZOLZABQ-PMYHJQRFSA-N
Properties
Density 1.7g/cm3 (Cal.)
Market Analysis Reports
List of Reports Available for Fluoromycin
Related Products
Ethyl 2-[[8-[5-(4-Fluorophenyl)Pentan-2-...  (2S)-N-[(E,2S,4S,7S)-7-[[(2R)-2-Aminopro...  (2S)-2-[[(2S)-2-[[(2S)-2-[[(2S)-2,6-Diam...  (E)-6-(4-(1-Ethyl-2-(4-Hydroxyphenyl)-1-...  Tetrahydro-4-Hydroxy-6-Isopropyl-5,5-Dim...  [(2S,4R,5R)-5-(6-Aminopurin-9-Yl)-4-Hydr...  (2S,3S,4R,5S)-5-Acetamido-3-[(3R,4R,5S,6...  3-[[4-[7-(Hydrazinylmethylideneamino)Hep...  (2R,3S,4S,5R,6R)-2-(Hydroxymethyl)-6-[(2...  2-[(2R)-2-Hydroxy-2-(4-Hydroxyphenyl)Eth...  1a,11-Dihydroindeno(7',1':6,7,8)Phenanth...  2-(Dimethylamino)-4,5-Diphenyloxazole  N,N-Diethyl-1-Methylsulfinylformamide  4-Fluoromethylvesamicol  3,4,4-Trimethyl-1-(4-Methylphenyl)Sulfon...