Online Database of Chemicals from Around the World

绿黄菌素
[CAS# 1405-00-1]

供应商
BOC Sciences 美国 询价快递  
+1 (631) 485-4226
info@bocsci.com
Skype 聊天
化学品供销商
chemBlink 集群供应商(2012 年起)
基本信息
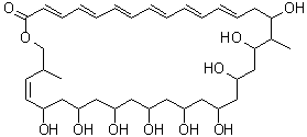
产品名称 绿黄菌素
英文名 Viridofulvin
别名 Viridofulvin [Usan:Inn]
分子结构 CAS 登录号:1405-00-1, 绿黄菌素
分子式 C37H58O11
分子量 678.86
CAS 登录号 1405-00-1
分子行输入简码 SMILES CC1C(O)CC(O)CC(O)CC(O)CC(O)CC(O)CC(O)CC(O)\C=C/C(COC(=O)/C=C/C=C/C=C/C=C/C=C/C=C/CC1O)C
国际化学标识码 InChI 1S/C37H58O11/c1-26-16-17-28(38)18-29(39)19-30(40)20-31(41)21-32(42)22-33(43)23-34(44)24-36(46)27(2)35(45)14-12-10-8-6-4-3-5-7-9-11-13-15-37(47)48-25-26/h3-13,15-17,26-36,38-46H,14,18-25H2,1-2H3/b4-3+,7-5+,8-6+,11-9+,12-10+,15-13+,17-16-
国际化学标识检索码 InChIKey BWKABGFZYLDQRM-UYENRZAWSA-N
物理化学性质
密度 1.1±0.1g/cm3 (计算值)
沸点 947.8±65.0°C at 760 mmHg (计算值)
闪点 287.6±27.8°C (计算值)
市场分析报告
请浏览绿黄菌素市场分析报告总目录
相关产品
N,N'-1,4-亚苯基二-乙酰胺  3-苯基-1'-(苯基甲基)-[3,4'-联哌啶]...  1-溴-2,3,5,6-四氟-4-(五氟苯氧基)-...  4-甲氧基-苯乙酸乙酯  2-呋喃甲醛 2,2-二甲基腙  氯泼尼松 21-乙酸酯    生育酚基乙酸酯  N-[2-(2-碘-5-甲氧基-1H-吲哚-3-基...  N-苯甲酰基-3'-O-[二(4-甲氧基苯基)苯基...  N-[5-[二(2-羟基乙基)氨基]-2-[(2-...  (2S,5R)-5-甲基-2-(1-甲基乙基)-环...  1,4-二亚硝基-哌嗪  4-肼基-噻吩并[2,3-d]嘧啶  Aminopotentidine