Online Database of Chemicals from Around the World

N,N,N-三丁基-1-丁烷铵(1E,3E)-5-氧代-1,3-戊二烯-1-醇
[CAS# 139261-76-0]

供应商
International Laboratory Limited 美国 询价快递  
+1 (650) 278-9963
admin@intlab.org
化学品生产商(2002 年起)
Santa Cruz Biotechnology, Inc. 美国 询价快递  
+1 (831) 457-3800
scbt@scbt.com
化学品生产商
Sigma-Aldrich, Inc. 美国 询价快递  
+86 (21) 6141-5566 / 800-819-3336
ordercn@sial.com,
化学品生产商(1992 年起)
基本信息
产品名称 N,N,N-三丁基-1-丁烷铵(1E,3E)-5-氧代-1,3-戊二烯-1-醇
英文名 N,N,N-Tributyl-1-Butanaminium (1E,3E)-5-Oxo-1,3-Pentadien-1-Olate
别名 2-Pentenedial tetrabutylammonium salt; 5-Hydroxy-2,4-pentadienal tetrabutylammonium salt
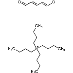
分子结构 CAS 登录号:139261-76-0, N,N,N-三丁基-1-丁烷铵(1E,3E)-5-氧代-1,3-戊二烯-1-醇
分子式 C21H41NO2
分子量 339.56
CAS 登录号 139261-76-0
分子行输入简码 SMILES [O-][C@H]=C\C=C\C=O.C(C[N+](CCCC)(CCCC)CCCC)CC
国际化学标识码 InChI 1S/C16H36N.C5H6O2/c1-5-9-13-17(14-10-6-2,15-11-7-3)16-12-8-4;6-4-2-1-3-5-7/h5-16H2,1-4H3;1-6H/q+1;/p-1/b;3-1+,4-2+
国际化学标识检索码 InChIKey RMNKCONQTSFEKC-BZGZIVBQSA-M
物理化学性质
折射率 (计算值)
市场分析报告
请浏览N,N,N-三丁基-1-丁烷铵(1E,3E)-5-氧代-1,3-戊二烯-1-醇市场分析报告总目录
相关产品
1,1'-(氧基二-4,1-亚苯基)二[3-(2-...  1-异喹啉胺  4(1H)-喹啉亚胺  4-亚甲基-1H-喹啉  3-(3-乙基-1,2,4-恶二唑-5-基)哌啶  2-(4-联苯基)乙酰肼  甲基5-(羟基甲基)-1,2-恶唑-3-羧酸酯  5-(羟基甲基)-1,2-恶唑-3-羧酸  5-(二乙基硼基)嘧啶  2H-嘌呤  1H-吡咯并[3,4-b]喹喔啉  N<sup>2</sup>-苯基-2,4-喹唑啉二...  6-氟-2-甲基-苯并呋喃  异丙基5-溴戊酸酯  (5-氟-1-苯并呋喃-2-基)乙腈