Online Database of Chemicals from Around the World

Pseudomycin A
[CAS# 139203-13-7]

供应商
CAS#: 139203-13-7
产品: Pseudomycin A
暂时没有厂家供应该产品。
基本信息
产品名称 Pseudomycin A
英文名 Pseudomycin A
别名 Aids096175; Pseudomycin A
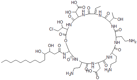
分子结构 CAS 登录号:139203-13-7, Pseudomycin A
分子式 C50H85ClN12O20
分子量 1209.74
CAS 登录号 139203-13-7
分子行输入简码 SMILES C(C1NC(C(NC(C(COC(C(NC(C(NC(/C(NC(C(NC(C(NC(C(NC1=O)CCCN)=O)CCN)=O)C(O)C)=O)=C/C)=O)C(C(=O)O)O)=O)C(O)CCl)=O)NC(CC(C(O)CCCCCCCCCC)O)=O)=O)CCN)=O)C(=O)O
国际化学标识码 InChI 1S/C50H85ClN12O20/c1-4-6-7-8-9-10-11-12-15-32(65)33(66)22-35(68)55-31-24-83-50(82)38(34(67)23-51)62-48(79)39(40(71)49(80)81)63-41(72)26(5-2)56-47(78)37(25(3)64)61-44(75)29(17-20-54)58-42(73)27(14-13-18-52)57-45(76)30(21-36(69)70)60-43(74)28(16-19-53)59-46(31)77/h5,25,27-34,37-40,64-67,71H,4,6-24,52-54H2,1-3H3,(H,55,68)(H,56,78)(H,57,76)(H,58,73)(H,59,77)(H,60,74)(H,61,75)(H,62,79)(H,63,72)(H,69,70)(H,80,81)/b26-5-
国际化学标识检索码 InChIKey XQXWAYYRNGIVKZ-PLYROHNOSA-N
物理化学性质
密度 1.41g/cm3 (计算值)
沸点 1686.8°C at 760 mmHg (计算值)
闪点 973.9°C (计算值)
市场分析报告
请浏览Pseudomycin A市场分析报告总目录
相关产品
N-[(4-甲氧基苯基)亚甲基氨基]-2-[4-[...  二(2-甲氧基苯基)二硫醚  2-氨基-4-(乙基磺酰基)苯酚盐酸盐  3,3',10-三羟基-4,7'-二甲氧基-7-甲...  N,N-二甲基-3-[2-[(E)-2-(3-甲基...  3-氨基-2,5-二氯-4,4-二甲氧基-5-丙-...  (S)-5,6,13,13a-四氢-9-羟基-10...  2-苯基-6-(哌啶甲基)-4,5-嘧啶二醇  2,4,6-三(1-氮丙啶基)嘧啶  (R)-路枯马木苷  2-(5-羟基-4,6,7-三甲基-2,3-二氢-...  4-(7-羟基-8-甲基-1,2,3,4-四氢异喹...  (+/-)-R-9,T-10-二羟基-C-11,1...  (+/-)-R-9,T-10-二羟基-T-11,1...  7-[(2R)-3-[[(2S)-2-氨基-3-羟...