基本信息
| 产品名称 |
[(2S,3S,5R,6S)-2,3,4,5,6-五羟基环己基]4-芘-1-基丁基氢磷酸酯 |
| 英文名 |
[(2S,3S,5R,6S)-2,3,4,5,6-Pentahydroxycyclohexyl] 4-Pyren-1-Ylbutyl Hydrogen Phosphate |
| 别名 |
[(2S,3S,5R,6S)-2,3,4,5,6-Pentahydroxycyclohexyl] 4-(1-Pyrenyl)Butyl Hydrogen Phosphate; 4-(1-Pyreno)Butylphosphorylinositol; Dl-Myo-Inositol, 1-(4-(1-Pyrenyl)Butyl Hydrogen Phosphate) |
|
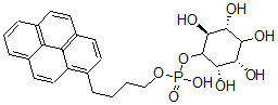
| 分子结构 |
![CAS 登录号:139143-25-2, [(2S,3S,5R,6S)-2,3,4,5,6-五羟基环己基]4-芘-1-基丁基氢磷酸酯](/moreStructures/139143-25-2.gif) |
| 分子式 |
C26H29O9P |
| 分子量 |
516.48 |
| CAS 登录号 |
139143-25-2 |
| 分子行输入简码 SMILES |
[C@@H]5(O)C(O[P](OCCCCC1=C4C2=C(C=C1)C=CC3=C2C(=CC=C3)C=C4)(O)=O)[C@@H](O)[C@H](O)C(O)[C@@H]5O |
| 国际化学标识码 InChI |
1S/C26H29O9P/c27-21-22(28)24(30)26(25(31)23(21)29)35-36(32,33)34-13-2-1-4-14-7-8-17-10-9-15-5-3-6-16-11-12-18(14)20(17)19(15)16/h3,5-12,21-31H,1-2,4,13H2,(H,32,33)/t21?,22-,23+,24-,25-,26?/m0/s1 |
| 国际化学标识检索码 InChIKey |
VBIVPQHGEARBEM-CDFZIERKSA-N |
|