Identification
| Name |
Dansyllysyl(8)-vasotocin |
| Synonyms |
(2S)-1-[(4R,7R,10S,13S,16S,19R)-19-Amino-7-(2-Amino-2-Oxo-Ethyl)-10-(3-Amino-3-Oxo-Propyl)-16-[(4-Hydroxyphenyl)Methyl]-6,9,12,15,18-Pentaoxo-13-Sec-Butyl-1,2-Dithia-5,8,11,14,17-Pentazacycloicosane-4-Carbonyl]-N-[(1S)-1-[(2-Amino-2-Oxo-Ethyl)Carbamoyl]-5-[(5-Dimethylamino-1-Naphthyl)Sulfonylamino]Pentyl]Pyrrolidine-2-Carboxamide; (2S)-1-[[(4R,7R,10S,13S,16S,19R)-19-Amino-7-(2-Amino-2-Oxoethyl)-10-(3-Amino-3-Oxopropyl)-16-[(4-Hydroxyphenyl)Methyl]-6,9,12,15,18-Pentaoxo-13-Sec-Butyl-1,2-Dithia-5,8,11,14,17-Pentazacycloicos-4-Yl]-Oxomethyl]-N-[(1S)-1-[[(2-Amino-2-Oxoethyl)Amino]-Oxomethyl]-5-[(5-Dimethylamino-1-Naphthyl)Sulfonylamino]Pentyl]-2-Pyrrolidinecarboxamide; (2S)-1-[(4R,7R,10S,13S,16S,19R)-19-Amino-7-(2-Amino-2-Keto-Ethyl)-10-(3-Amino-3-Keto-Propyl)-16-(4-Hydroxybenzyl)-6,9,12,15,18-Pentaketo-13-Sec-Butyl-1,2-Dithia-5,8,11,14,17-Pentazacycloicosane-4-Carbonyl]-N-[(1S)-1-[(2-Amino-2-Keto-Ethyl)Carbamoyl]-5-[(5-Dimethylamino-1-Naphthyl)Sulfonylamino]Pentyl]Pyrrolidine-2-Carboxamide |
|
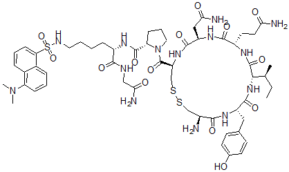
| Molecular Structure |
 |
| Molecular Formula |
C55H78N14O14S3 |
| Molecular Weight |
1255.49 |
| CAS Registry Number |
138915-83-0 |
| SMILES |
[C@H]1(NC(=O)[C@@H](NC(=O)[C@@H](N)CSSC[C@H](NC(=O)[C@H](NC(=O)[C@@H](NC1=O)CCC(=O)N)CC(=O)N)C(=O)N4[C@H](C(=O)N[C@@H](CCCCN[S](=O)(=O)C2=CC=CC3=C(N(C)C)C=CC=C23)C(=O)NCC(=O)N)CCC4)CC5=CC=C(O)C=C5)[C@H](CC)C |
| InChI |
1S/C55H78N14O14S3/c1-5-30(2)47-54(80)63-37(21-22-44(57)71)50(76)65-39(26-45(58)72)51(77)66-40(29-85-84-28-35(56)48(74)64-38(52(78)67-47)25-31-17-19-32(70)20-18-31)55(81)69-24-10-15-42(69)53(79)62-36(49(75)60-27-46(59)73)13-6-7-23-61-86(82,83)43-16-9-11-33-34(43)12-8-14-41(33)68(3)4/h8-9,11-12,14,16-20,30,35-40,42,47,61,70H,5-7,10,13,15,21-29,56H2,1-4H3,(H2,57,71)(H2,58,72)(H2,59,73)(H,60,75)(H,62,79)(H,63,80)(H,64,74)(H,65,76)(H,66,77)(H,67,78)/t30-,35-,36-,37-,38-,39+,40-,42-,47-/m0/s1 |
| InChIKey |
RRSZBKKWGBUTFY-BRDYMSPASA-N |
|