Online Database of Chemicals from Around the World

(2R,3R)-2-[(Z)-7-羟基庚-2-烯基]-3-[(E,3S)-3-羟基辛-1-烯基]环戊烷-1-酮
[CAS# 138898-70-1]

供应商
CAS#: 138898-70-1
产品: (2R,3R)-2-[(Z)-7-羟基庚-2-烯基]-3-[(E,3S)-3-羟基辛-1-烯基]环戊烷-1-酮
暂时没有厂家供应该产品。
基本信息
产品名称 (2R,3R)-2-[(Z)-7-羟基庚-2-烯基]-3-[(E,3S)-3-羟基辛-1-烯基]环戊烷-1-酮
英文名 (2R,3R)-2-[(Z)-7-Hydroxyhept-2-Enyl]-3-[(E,3S)-3-Hydroxyoct-1-Enyl]Cyclopentan-1-One
别名 (2R,3R)-2-[(Z)-7-Hydroxyhept-2-Enyl]-3-[(E,3S)-3-Hydroxyoct-1-Enyl]-1-Cyclopentanone; 11-Deoxy-Pge2-1-Ol; 11-Deoxyprostaglandin E2-1-Alcohol
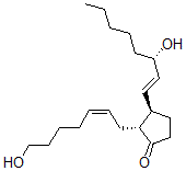
分子结构 CAS 登录号:138898-70-1, (2R,3R)-2-[(Z)-7-羟基庚-2-烯基]-3-[(E,3S)-3-羟基辛-1-烯基]环戊烷-1-酮
分子式 C20H34O3
分子量 322.49
CAS 登录号 138898-70-1
分子行输入简码 SMILES [C@H]1([C@H](CCC1=O)\C=C\[C@@H](O)CCCCC)C\C=C/CCCCO
国际化学标识码 InChI 1S/C20H34O3/c1-2-3-7-10-18(22)14-12-17-13-15-20(23)19(17)11-8-5-4-6-9-16-21/h5,8,12,14,17-19,21-22H,2-4,6-7,9-11,13,15-16H2,1H3/b8-5-,14-12+/t17-,18-,19+/m0/s1
国际化学标识检索码 InChIKey SEMCUKYPAAMRLU-MADZDOCKSA-N
物理化学性质
密度 1.031g/cm3 (计算值)
沸点 475.045°C at 760 mmHg (计算值)
闪点 255.21°C (计算值)
市场分析报告
请浏览(2R,3R)-2-[(Z)-7-羟基庚-2-烯基]-3-[(E,3S)-3-羟基辛-1-烯基]环戊烷-1-酮市场分析报告总目录
相关产品
4-[[(1R,2R,4aS,8aS)-1-(羟基...  4-[[(1R,2R,4aS,5S,8aS)-2-...  二十八碳-19-炔酸  (2S)-2-氨基-3-[[(2S)-3-棕榈酰氧...  N-丙基硫代氯甲酸酯  硫代氯甲酸 5-辛基酯  N-[(4-丙-1-烯-2-基-1-环己烯基)亚甲...  3-氧代羽扇-20(29)-烯-30,21alph...  20,29-环氧-3-氧代羽扇烷-30,21alp...  赭黄栲古那内酯C  2-(2-溴乙酰基)氧基-2-苯基乙酸  丹磺酰赖氨酰(8)-催产加压素  氢化-二苯基-锗  1,1,1-三甲基-N-(三苯基膦)硅烷胺  2-(2H-吡唑-3-基)乙胺二盐酸盐