Online Database of Chemicals from Around the World

N-(N-(N2-L-丝氨酰-L-赖氨酰)-L-丝氨酰)-2alpha-内-L-脯氨酸-7-L-赖氨酸-8-L-亮氨酸-13-L-丝氨酸-14-L-酪氨酸-21alpha-L-精氨酸-21B-L-赖氨酸-房肽素-21(小鼠还原)
[CAS# 138506-90-8]

供应商
CAS#: 138506-90-8
产品: N-(N-(N2-L-丝氨酰-L-赖氨酰)-L-丝氨酰)-2alpha-内-L-脯氨酸-7-L-赖氨酸-8-L-亮氨酸-13-L-丝氨酸-14-L-酪氨酸-21alpha-L-精氨酸-21B-L-赖氨酸-房肽素-21(小鼠还原)
暂时没有厂家供应该产品。
基本信息
产品名称 N-(N-(N2-L-丝氨酰-L-赖氨酰)-L-丝氨酰)-2alpha-内-L-脯氨酸-7-L-赖氨酸-8-L-亮氨酸-13-L-丝氨酸-14-L-酪氨酸-21alpha-L-精氨酸-21B-L-赖氨酸-房肽素-21(小鼠还原)
英文名 N-(N-(N2-L-Seryl-L-Lysyl)-L-Seryl)-2alpha-Endo-L-Proline-7-L-Lysine-8-L-Leucine-13-L-Serine-14-L-Tyrosine-21alpha-L-Arginine-21B-L-Lysine-Atriopeptin-21 (Rat Reduced)
别名 Anp (1-27); Atrial Natriuretic Factor (1-27)
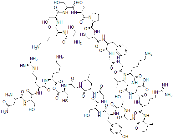
分子结构 CAS 登录号:138506-90-8, N-(N-(N2-L-丝氨酰-L-赖氨酰)-L-丝氨酰)-2alpha-内-L-脯氨酸-7-L-赖氨酸-8-L-亮氨酸-13-L-丝氨酸-14-L-酪氨酸-21alpha-L-精氨酸-21B-L-赖氨酸-房肽素-21(小鼠还原)
分子式 C116H191N37O39S2
分子量 2792.13
CAS 登录号 138506-90-8
分子行输入简码 SMILES [C@H](C(=O)OC([C@@H](NC(CNC([C@@H](NC(CNC([C@@H](NC([C@@H](NC([C@@H](NC(CNC([C@@H](NC([C@@H](NC([C@@H](NC([C@@H](NC([C@@H](NC(CNC(CNC([C@@H](NC([C@@H](NC([C@H]1N(CCC1)C([C@@H](NC([C@@H](NC([C@@H](NC([C@@H](NC([C@@H](N)CO)=O)CCCCN)=O)CO)=O)CO)=O)CO)=O)=O)CS)=O)CC2=CC=CC=C2)=O)=O)=O)CCCCN)=O)CC(C)C)=O)CC(=O)O)=O)CCCNC(=N)N)=O)[C@H](CC)C)=O)=O)CO)=O)CC3=CC=C(O)C=C3)=O)CO)=O)=O)CC(C)C)=O)=O)CS)=O)(NC([C@@H](NC([C@@H](NC([C@@H](N)CC(=O)N)=O)CO)=O)CCCNC(=N)N)=O)CCCCN
国际化学标识码 InChI 1S/C116H191N37O39S2/c1-7-60(6)92(111(188)133-48-89(166)136-77(51-156)105(182)144-74(41-62-28-30-63(161)31-29-62)103(180)147-76(50-155)97(174)132-46-88(165)135-71(38-58(2)3)95(172)131-47-90(167)137-83(57-194)114(191)192-113(190)70(24-13-16-34-119)141-99(176)68(25-17-35-127-115(123)124)140-106(183)78(52-157)146-93(170)64(120)42-85(122)162)152-101(178)69(26-18-36-128-116(125)126)139-104(181)75(43-91(168)169)145-102(179)72(39-59(4)5)142-98(175)66(22-11-14-32-117)134-87(164)45-129-86(163)44-130-96(173)73(40-61-20-9-8-10-21-61)143-109(186)82(56-193)151-110(187)84-27-19-37-153(84)112(189)81(55-160)150-108(185)80(54-159)149-107(184)79(53-158)148-100(177)67(23-12-15-33-118)138-94(171)65(121)49-154/h8-10,20-21,28-31,58-60,64-84,92,154-161,193-194H,7,11-19,22-27,32-57,117-121H2,1-6H3,(H2,122,162)(H,129,163)(H,130,173)(H,131,172)(H,132,174)(H,133,188)(H,134,164)(H,135,165)(H,136,166)(H,137,167)(H,138,171)(H,139,181)(H,140,183)(H,141,176)(H,142,175)(H,143,186)(H,144,182)(H,145,179)(H,146,170)(H,147,180)(H,148,177)(H,149,184)(H,150,185)(H,151,187)(H,152,178)(H,168,169)(H4,123,124,127)(H4,125,126,128)/t60-,64-,65-,66-,67-,68-,69-,70-,71-,72-,73-,74-,75-,76-,77-,78-,79-,80-,81-,82-,83-,84-,92-/m0/s1
国际化学标识检索码 InChIKey SXTKEUDEQFUKCW-KCYBZCTESA-N
市场分析报告
请浏览N-(N-(N2-L-丝氨酰-L-赖氨酰)-L-丝氨酰)-2alpha-内-L-脯氨酸-7-L-赖氨酸-8-L-亮氨酸-13-L-丝氨酸-14-L-酪氨酸-21alpha-L-精氨酸-21B-L-赖氨酸-房肽素-21(小鼠还原)市场分析报告总目录
相关产品
2,5,7-三甲基-2-癸烯-6,8-二酮  2,5,7,9-四甲基-2-癸烯-6,8-二酮  3,5,7,10-四甲基十一碳-9-烯-4,6-二...  4,5alpha-环氧-17-甲基-6alpha-...  5-甲基-2-(1,3-噻唑-2-基氨基)苯酚  N-(5-氯-2-甲基-4-硝基苯基)-乙酰胺  N-[6-(4-氧代-3H-酞嗪-1-基)-1H-...  [(3R)-1-[(2R,3R,4R,5S,6R)...  [(3R)-1-[(2R,3R,4R,5S)-6-...  4-氯-2-硝基苯磺酰胺  2-二甲基氨基乙基2-(4-氧代-2-苯基苯并吡喃...  Trichogin A IV  2-苯基-2-[(2R,3R,4S,5S,6R)-...  4-氯-N-(羟基甲基)苯甲酰胺  4-氨基-N-[(8R)-1-氮杂双环[2.2.2...