Online Database of Chemicals from Around the World

铃蟾抗菌肽-样肽-1
[CAS# 138220-00-5]

供应商
International Laboratory Limited 美国 询价快递  
+1 (650) 278-9963
admin@intlab.org
化学品生产商(2002 年起)
基本信息
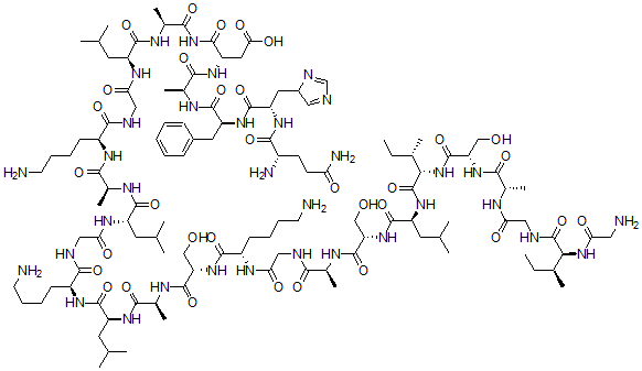
产品名称 铃蟾抗菌肽-样肽-1
英文名 Bombinin-like peptide-1
别名 Bombinin-Like Peptide-1; L-Aspartamide, Glycyl-L-Isoleucylglycyl-L-Alanyl-L-Seryl-L-Isoleucyl-L-Leucyl-L-Seryl-L-Alanylglycyl-L-Lysyl-L-Seryl-L-Alanyl-L-Leucyl-L-Lysylglycyl-L-Leucyl-L-Alanyl-L-Lysylglycyl-L-Leucyl-L-Alanyl-L-Alpha-Glutamyl-L-
分子结构 CAS 登录号:138220-00-5, 铃蟾抗菌肽-样肽-1
分子式 C115H194N34O33
分子量 2581.01
CAS 登录号 138220-00-5
分子行输入简码 SMILES [C@H](C(=O)NC([C@@H](NC([C@@H](NC(CNC([C@@H](NC([C@@H](NC([C@@H](NC(CNC([C@@H](NC([C@@H](NC([C@@H](NC([C@@H](NC([C@@H](NC(CNC([C@@H](NC([C@@H](NC([C@@H](NC([C@@H](NC([C@@H](NC([C@@H](NC(CNC([C@@H](NC(CN)=O)[C@H](CC)C)=O)=O)C)=O)CO)=O)[C@H](CC)C)=O)CC(C)C)=O)CO)=O)C)=O)=O)CCCCN)=O)CO)=O)C)=O)CC(C)C)=O)CCCCN)=O)=O)CC(C)C)=O)C)=O)CCCCN)=O)=O)CC(C)C)=O)C)=O)(NC([C@@H](NC([C@@H](NC([C@@H](NC([C@@H](N)CCC(=O)N)=O)CC1C=NC=N1)=O)CC2=CC=CC=C2)=O)C)=O)CC(=O)O
国际化学标识码 InChI 1S/C115H194N34O33/c1-19-61(11)92(147-86(154)47-119)114(181)126-49-87(155)128-64(14)95(162)144-84(55-152)113(180)148-93(62(12)20-2)115(182)143-78(43-60(9)10)108(175)146-83(54-151)111(178)129-63(13)94(161)123-50-88(156)134-74(34-26-29-39-118)103(170)145-82(53-150)112(179)133-67(17)97(164)139-77(42-59(7)8)107(174)138-73(33-25-28-38-117)102(169)125-52-90(158)135-75(40-57(3)4)104(171)130-65(15)96(163)137-72(32-24-27-37-116)101(168)124-51-89(157)136-76(41-58(5)6)105(172)132-68(18)99(166)149-110(177)81(46-91(159)160)140-98(165)66(16)131-106(173)79(44-69-30-22-21-23-31-69)142-109(176)80(45-70-48-122-56-127-70)141-100(167)71(120)35-36-85(121)153/h21-23,30-31,48,56-68,70-84,92-93,150-152H,19-20,24-29,32-47,49-55,116-120H2,1-18H3,(H2,121,153)(H,123,161)(H,124,168)(H,125,169)(H,126,181)(H,128,155)(H,129,178)(H,130,171)(H,131,173)(H,132,172)(H,133,179)(H,134,156)(H,135,158)(H,136,157)(H,137,163)(H,138,174)(H,139,164)(H,140,165)(H,141,167)(H,142,176)(H,143,182)(H,144,162)(H,145,170)(H,146,175)(H,147,154)(H,148,180)(H,159,160)(H,149,166,177)/t61-,62-,63-,64-,65-,66-,67-,68-,70?,71-,72-,73-,74-,75-,76-,77-,78-,79-,80-,81-,82-,83-,84-,92-,93-/m0/s1
国际化学标识检索码 InChIKey BVYRHZUKPPVMAQ-JGKRARPPSA-N
市场分析报告
请浏览铃蟾抗菌肽-样肽-1市场分析报告总目录
相关产品
甘氨酰-L-异亮氨酰甘氨酰-L-丝氨酰-L-丙氨酰...  铃蟾抗菌肽-样肽-3  2-[(3aR,7aS)-1,3-二氧代-3a,4...  吲哚酚磷酸酯  1-(2,4-二氯苯基)-2,5-二甲基吡咯-3-...  钾2-氧代吡咯烷-1-磺酸酯  5-(8-氟十一烷基硫基)戊酸  1-(2,6-二氟苯基)-1,3-二氢-[1,3]...  1-(2-氯-5-硝基苯基)-1,3-二氢-[1,...  [[4,6-二[二(甲氧基甲基)氨基]-1,3,5...  (2R)-2-[[(2S)-2-氨基-3-(4-羟...  2-[(6-氨基-9-甲氧基吖啶-3-基)氨基]乙...  5-羟基-6-氧代-1,2-二氢吲哚-2-羧酸  3-[(7R,8R,9S,10R,13S,14S)...  6-氯-2H-1,2,4-苯并噻二嗪-7-磺酰胺1...