Online Database of Chemicals from Around the World

叔丁基-半胱氨酸(18)-降钙素基因-相关肽(19-37)
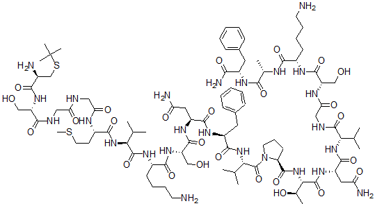
[CAS# 137908-73-7]

供应商
CAS#: 137908-73-7
产品: 叔丁基-半胱氨酸(18)-降钙素基因-相关肽(19-37)
暂时没有厂家供应该产品。
基本信息
产品名称 叔丁基-半胱氨酸(18)-降钙素基因-相关肽(19-37)
英文名 tert-Butyl-cysteine(18)-Calcitonin gene-related peptide (19-37)
别名 (But-Cys18)(19-37)-Fragment Betacgrp; Betacgrp (19-37), T-Butyl-Cys(18)-; Calcitonin Gene-Related Peptide (19-37), T-Butyl-Cys(18)-
分子结构 CAS 登录号:137908-73-7, 叔丁基-半胱氨酸(18)-降钙素基因-相关肽(19-37)
分子式 C92H149N25O26S2
分子量 2085.46
CAS 登录号 137908-73-7
分子行输入简码 SMILES [C@H](C(=O)N)(NC([C@@H](NC([C@@H](NC([C@@H](NC(CNC([C@@H](NC([C@@H](NC([C@@H](NC([C@H]1N(CCC1)C([C@@H](NC([C@@H](NC([C@@H](NC([C@@H](NC([C@@H](NC([C@@H](NC([C@@H](NC(CNC(CNC([C@@H](NC([C@@H](N)CSC(C)(C)C)=O)CO)=O)=O)=O)CCSC)=O)C(C)C)=O)CCCCN)=O)CO)=O)CC(=O)N)=O)CC2=CC=CC=C2)=O)C(C)C)=O)=O)[C@@H](C)O)=O)CC(=O)N)=O)C(C)C)=O)=O)CO)=O)CCCCN)=O)C)=O)CC3=CC=CC=C3
国际化学标识码 InChI 1S/C92H149N25O26S2/c1-47(2)71(88(140)101-42-70(126)104-63(44-119)85(137)105-55(28-19-21-32-93)79(131)102-50(7)76(128)107-58(75(98)127)36-52-24-15-13-16-25-52)113-84(136)61(39-67(97)123)110-90(142)74(51(8)121)116-87(139)65-30-23-34-117(65)91(143)73(49(5)6)115-83(135)59(37-53-26-17-14-18-27-53)108-82(134)60(38-66(96)122)109-86(138)64(45-120)112-80(132)56(29-20-22-33-94)106-89(141)72(48(3)4)114-81(133)57(31-35-144-12)103-69(125)41-99-68(124)40-100-78(130)62(43-118)111-77(129)54(95)46-145-92(9,10)11/h13-18,24-27,47-51,54-65,71-74,118-121H,19-23,28-46,93-95H2,1-12H3,(H2,96,122)(H2,97,123)(H2,98,127)(H,99,124)(H,100,130)(H,101,140)(H,102,131)(H,103,125)(H,104,126)(H,105,137)(H,106,141)(H,107,128)(H,108,134)(H,109,138)(H,110,142)(H,111,129)(H,112,132)(H,113,136)(H,114,133)(H,115,135)(H,116,139)/t50-,51+,54-,55-,56-,57-,58-,59-,60-,61-,62-,63-,64-,65-,71-,72-,73-,74-/m0/s1
国际化学标识检索码 InChIKey WATQXYHVKWACLE-XACTVAOOSA-N
市场分析报告
请浏览叔丁基-半胱氨酸(18)-降钙素基因-相关肽(19-37)市场分析报告总目录
相关产品
Tardomyocel Compound  N-乙基-N-甲基-2-甲基亚磺酰丙酰胺  2-(4-氯-2-甲基苯氧基)-N,N-二甲基丙酰...  N-甲基氨基甲酸4-(2-氰基乙基)苯基酯  甲基氨基甲酸1,4-苯并二恶烷-5-基酯  甲基氨基甲酸4-(氰基甲基)苯基酯  2-[6-(4-甲基苯氧基)嘧啶-4-基]硫基乙酰...  2-[6-(4-氯苯氧基)嘧啶-4-基]硫基乙酰肼  2-[6-(苯氧基)嘧啶-4-基]硫基-N-(丙-...  2-[6-(4-氟苯氧基)嘧啶-4-基]硫基-N-...  2-[6-(4-氯苯氧基)嘧啶-4-基]硫基-N-...  3-(叔-丁基氨基甲酰氧基)苯胺基甲酸甲酯  1-((4-((6-((2-巯基-2-甲基丙基)氨...  1-(5-碘噻吩-2-基)丙-2-胺  (+-)-5-(碘-131I)-alpha-甲基-...