Online Database of Chemicals from Around the World

月见草鞣质A
[CAS# 137422-98-1]

供应商
CAS#: 137422-98-1
产品: 月见草鞣质A
暂时没有厂家供应该产品。
基本信息
产品名称 月见草鞣质A
英文名 Oenothein A
别名 Oenothein A
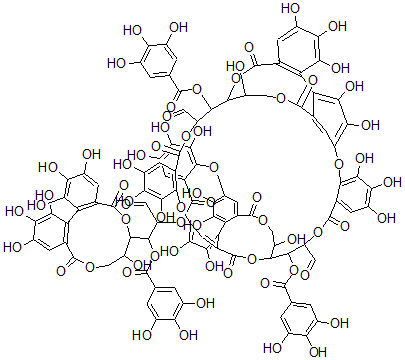
分子结构 CAS 登录号:137422-98-1, 月见草鞣质A
分子式 C102H72O66
分子量 2353.65
CAS 登录号 137422-98-1
分子行输入简码 SMILES C1=C%10C(=C(C(=C1OC2=C(C(=C(C=C2C(OC(C(C3OC(C5=C(C4=C(C(OCC3O)=O)C=C(C(=C4O)O)O)C(=C(C(=C5)O)O)O)=O)OC(C6=CC(=C(C(=C6)O)O)O)=O)C=O)=O)O)O)O)O)O)C8=C(C(=C9OC%16=C(C(OC(C(C%13OC(C%14=C(C%12=C(C(=C(OC7=C(C(=C(C=C7C(OC(C(C(OC(C8=C9)=O)C(COC%10=O)O)OC(C%11=CC(=C(C(=C%11)O)O)O)=O)C=O)=O)O)O)O)C=C%12C(OCC%13O)=O)O)O)C(=C(C(=C%14)O)O)O)=O)OC(C%15=CC(=C(C(=C%15)O)O)O)=O)C=O)=O)C=C(C(=C%16O)O)O)O)O
国际化学标识码 InChI 1S/C102H72O66/c103-16-52(88(166-91(142)22-1-34(106)61(121)35(107)2-22)85-46(118)19-154-94(145)25-7-40(112)64(124)73(133)55(25)56-26(97(148)163-85)8-41(113)65(125)74(56)134)160-100(151)32-11-44(116)68(128)80(140)83(32)158-50-14-29-59(77(137)71(50)131)60-30-15-51(72(132)78(60)138)159-84-33(12-45(117)69(129)81(84)141)102(153)161-53(17-104)89(167-92(143)23-3-36(108)62(122)37(109)4-23)86-47(119)20-155-95(146)28-13-49(70(130)76(136)58(28)57-27(98(149)164-86)9-42(114)66(126)75(57)135)157-82-31(10-43(115)67(127)79(82)139)101(152)162-54(18-105)90(87(165-99(30)150)48(120)21-156-96(29)147)168-93(144)24-5-38(110)63(123)39(111)6-24/h1-18,46-48,52-54,85-90,106-141H,19-21H2
国际化学标识检索码 InChIKey BJKKYEKHHYWTQZ-UHFFFAOYSA-N
物理化学性质
密度 2.246g/cm3 (计算值)
市场分析报告
请浏览月见草鞣质A市场分析报告总目录
相关产品
(E)-2-氨基-4-甲基-5-膦酰戊-3-烯酸  1-[[(5S)-2-羟基-2-氧代-1,4-二氧...  4-苯基-1-(2-丙基戊酰基)吡咯烷-2-酮  4-(4-氯苯基)-1-(2-丙基戊酰基)吡咯烷-...  4-(4-氯苯基)-1-(4-甲氧基苯甲酰基)吡咯...  1-[2-(4-氯苯氧基)乙酰基]-4-(4-氯苯...  4-苯基-1-(吡啶-3-羰基)吡咯烷-2-酮  乙基2-氧代-4-苯基-1-(2-丙基戊酰基)吡咯...  1-(2-羟基乙基)-1-亚硝基脲  (8S,13S,14S)-13-甲基-10-(2-...  (7S)-4-氯-7-甲基-5,6,7,8-四氢-...  毕澄茄烯  17-氟-3-甲基十七烷酸  7-戊氧基-3-(苯氧基)苯并吡喃-4-酮  Sorocein A