Online Database of Chemicals from Around the World

2,2'-{[26,28-二甲氧基-5,11,17,23-四(2-甲基-2-丙基)五环[19.3.1.13,7.19,13.115,19]二十八-1(25),3(28),4,6,9(27),10,12,15(26),16,18,21,23-十二烯-25,27-二基]二(氧基)}二乙酸
[CAS# 136157-98-7]

基本信息
产品名称 2,2'-{[26,28-二甲氧基-5,11,17,23-四(2-甲基-2-丙基)五环[19.3.1.13,7.19,13.115,19]二十八-1(25),3(28),4,6,9(27),10,12,15(26),16,18,21,23-十二烯-25,27-二基]二(氧基)}二乙酸
英文名 2,2'-{[26,28-Dimethoxy-5,11,17,23-Tetrakis(2-Methyl-2-Propanyl)Pentacyclo[19.3.1.13,7.19,13.115,19]Octacosa-1(25),3(28),4,6,9(27),10,12,15(26),16,18,21,23-Dodecaene-25,27-Diyl]Bis(Oxy)}Diacetic Acid
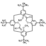
分子结构 CAS 登录号:136157-98-7, 2,2'-{[26,28-二甲氧基-5,11,17,23-四(2-甲基-2-丙基)五环[19.3.1.1<sup>3,7</sup>.1<sup>9,13</sup>.1<sup>15,19</sup>]二十八-1(25),3(28),4,6,9(27),10,12,15(26),16,18,21,23-十二烯-25,27-二基]二(氧基)}二乙酸
分子式 C50H64O8
分子量 793.04
CAS 登录号 136157-98-7
分子行输入简码 SMILES CC(C)(C)C1=CC2=C(C(=C1)CC3=CC(=CC(=C3OCC(=O)O)CC4=CC(=CC(=C4OC)CC5=C(C(=CC(=C5)C(C)(C)C)C2)OCC(=O)O)C(C)(C)C)C(C)(C)C)OC
国际化学标识码 InChI 1S/C50H64O8/c1-47(2,3)37-19-29-15-33-23-39(49(7,8)9)25-35(45(33)57-27-41(51)52)17-31-21-38(48(4,5)6)22-32(44(31)56-14)18-36-26-40(50(10,11)12)24-34(46(36)58-28-42(53)54)16-30(20-37)43(29)55-13/h19-26H,15-18,27-28H2,1-14H3,(H,51,52)(H,53,54)
国际化学标识检索码 InChIKey GRSQCGICFHAMOA-UHFFFAOYSA-N
物理化学性质
密度 1.1±0.1g/cm3 (计算值)
1.045-1.165 (实验值)
熔点 250-252°C (实验值)
沸点 844.9±65.0°C at 760 mmHg (计算值)
闪点 238.2±27.8°C (计算值)
折射率 1.553 (计算值)
安全数据
安全说明 CAUTION: May irritate eyes, skin, and respiratory tract
SDS 化学品安全技术说明书参考文本
市场分析报告
请浏览2,2'-{[26,28-二甲氧基-5,11,17,23-四(2-甲基-2-丙基)五环[19.3.1.13,7.19,13.115,19]二十八-1(25),3(28),4,6,9(27),10,12,15(26),16,18,21,23-十二烯-25,27-二基]二(氧基)}二乙酸市场分析报告总目录
相关产品
1-[(2S,3S)-3-(三甲基硅烷基)-2-环...  2-(二甲氧基甲基)-1H-苯并咪唑  1H-萘并[2,3-d]咪唑-2-甲醛  4,12-十四碳二烯-8,10-二炔-1,6,7-...  乙基(2S,3R)-3-(羟基甲基)-2-环氧乙烷...  三氯(3-苯基丙基)硅烷  (4E)-4-[(4-氨基苯基)亚氨基]-5-甲基...  4-乙氧基-6,7,8,9-四氢-5H-环庚并[b...  3-(丁酰基氨基)-3-氧代丙酸  甲基N-[(烯丙氧基)羰基]-L-丝氨酸酯  1,1',1''-(环己基甲烷三基)三苯  2-乙酰基-6-硝基苯甲酸  3-乙氧基环己酮  1-[(3aR,6aR)-2-氨基-3,3A,4,...  4-环丙基-2-甲基-1,3-噻唑-5-甲酰氯