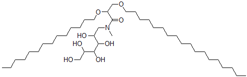
基本信息
| 产品名称 |
N-甲基-3-十八烷氧基-N-(2,3,4,5,6-五羟基己基)-2-十四烷氧基丙酰胺 |
| 英文名 |
N-Methyl-3-Octadecoxy-N-(2,3,4,5,6-Pentahydroxyhexyl)-2-Tetradecoxypropanamide |
| 别名 |
N-Methyl-3-Octadecoxy-N-(2,3,4,5,6-Pentahydroxyhexyl)-2-Tetradecoxy-Propanamide; N-Methyl-2-Myristyloxy-N-(2,3,4,5,6-Pentahydroxyhexyl)-3-Stearyloxy-Propionamide; 1-Deoxy-1-(Methyl(3-(Oxtadecyloxy)-1-Oxo-2-(Tetradecyloxy)Propyl)Amino)-D-Glucitol |
|
| 分子结构 |
 |
| 分子式 |
C42H85NO8 |
| 分子量 |
732.14 |
| CAS 登录号 |
135961-67-0 |
| 分子行输入简码 SMILES |
C(O)C(C(C(C(CN(C(C(OCCCCCCCCCCCCCC)COCCCCCCCCCCCCCCCCCC)=O)C)O)O)O)O |
| 国际化学标识码 InChI |
1S/C42H85NO8/c1-4-6-8-10-12-14-16-18-19-20-21-22-24-26-28-30-32-50-36-39(42(49)43(3)34-37(45)40(47)41(48)38(46)35-44)51-33-31-29-27-25-23-17-15-13-11-9-7-5-2/h37-41,44-48H,4-36H2,1-3H3 |
| 国际化学标识检索码 InChIKey |
IBGVJRPCRNUFMG-UHFFFAOYSA-N |
|