Online Database of Chemicals from Around the World

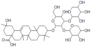
2-羟基-10-[5-羟基-6-(羟基甲基)-3,4-二[(3,4,5-三羟基四氢吡喃-2-基)氧基]四氢吡喃-2-基]氧基-2,6a,6b,9,9,12a-六甲基-1,3,4,5,6,6a,7,8,8a,10,11,12,13,14b-十四氢苉-4a-羧酸
[CAS# 135630-75-0]

供应商
CAS#: 135630-75-0
产品: 2-羟基-10-[5-羟基-6-(羟基甲基)-3,4-二[(3,4,5-三羟基四氢吡喃-2-基)氧基]四氢吡喃-2-基]氧基-2,6a,6b,9,9,12a-六甲基-1,3,4,5,6,6a,7,8,8a,10,11,12,13,14b-十四氢苉-4a-羧酸
暂时没有厂家供应该产品。
基本信息
产品名称 2-羟基-10-[5-羟基-6-(羟基甲基)-3,4-二[(3,4,5-三羟基四氢吡喃-2-基)氧基]四氢吡喃-2-基]氧基-2,6a,6b,9,9,12a-六甲基-1,3,4,5,6,6a,7,8,8a,10,11,12,13,14b-十四氢苉-4a-羧酸
英文名 2-Hydroxy-10-[5-Hydroxy-6-(Hydroxymethyl)-3,4-Bis[(3,4,5-Trihydroxyoxan-2-Yl)Oxy]Oxan-2-Yl]Oxy-2,6a,6b,9,9,12a-Hexamethyl-1,3,4,5,6,6a,7,8,8a,10,11,12,13,14b-Tetradecahydropicene-4a-Carboxylic Acid
别名 2-Hydroxy-10-[5-Hydroxy-6-(Hydroxymethyl)-3,4-Bis[(3,4,5-Trihydroxytetrahydropyran-2-Yl)Oxy]Tetrahydropyran-2-Yl]Oxy-2,6A,6B,9,9,12A-Hexamethyl-1,3,4,5,6,6A,7,8,8A,10,11,12,13,14B-Tetradecahydropicene-4A-Carboxylic Acid; 2-Hydroxy-10-[[5-Hydroxy-6-(Hydroxymethyl)-3,4-Bis[(3,4,5-Trihydroxy-2-Tetrahydropyranyl)Oxy]-2-Tetrahydropyranyl]Oxy]-2,6A,6B,9,9,12A-Hexamethyl-1,3,4,5,6,6A,7,8,8A,10,11,12,13,14B-Tetradecahydropicene-4A-Carboxylic Acid; 2-Hydroxy-10-[5-Hydroxy-6-Methylol-3,4-Bis[(3,4,5-Trihydroxytetrahydropyran-2-Yl)Oxy]Tetrahydropyran-2-Yl]Oxy-2,6A,6B,9,9,12A-Hexamethyl-1,3,4,5,6,6A,7,8,8A,10,11,12,13,14B-Tetradecahydropicene-4A-Carboxylic Acid
分子结构 CAS 登录号:135630-75-0, 2-羟基-10-[5-羟基-6-(羟基甲基)-3,4-二[(3,4,5-三羟基四氢吡喃-2-基)氧基]四氢吡喃-2-基]氧基-2,6a,6b,9,9,12a-六甲基-1,3,4,5,6,6a,7,8,8a,10,11,12,13,14b-十四氢苉-4a-羧酸
分子式 C45H72O17
分子量 885.05
CAS 登录号 135630-75-0
分子行输入简码 SMILES C(C6C(O)C(C(C(OC3C(C2CCC1(C5(C(=CCC1C2(CC3)C)C4CC(O)(C)CCC4(CC5)C(=O)O)C)C)(C)C)O6)OC7C(C(O)C(CO7)O)O)OC8C(C(O)C(CO8)O)O)O
国际化学标识码 InChI 1S/C45H72O17/c1-40(2)26-9-12-44(6)27(8-7-21-22-17-41(3,56)13-15-45(22,39(54)55)16-14-43(21,44)5)42(26,4)11-10-28(40)60-38-35(62-37-33(53)30(50)24(48)20-58-37)34(31(51)25(18-46)59-38)61-36-32(52)29(49)23(47)19-57-36/h7,22-38,46-53,56H,8-20H2,1-6H3,(H,54,55)
国际化学标识检索码 InChIKey OYDWTLURLATONI-UHFFFAOYSA-N
物理化学性质
密度 1.429g/cm3 (计算值)
沸点 987.443°C at 760 mmHg (计算值)
闪点 286.052°C (计算值)
市场分析报告
请浏览2-羟基-10-[5-羟基-6-(羟基甲基)-3,4-二[(3,4,5-三羟基四氢吡喃-2-基)氧基]四氢吡喃-2-基]氧基-2,6a,6b,9,9,12a-六甲基-1,3,4,5,6,6a,7,8,8a,10,11,12,13,14b-十四氢苉-4a-羧酸市场分析报告总目录
相关产品
(2S)-2-氨基-3-[(2-氯乙酰基)氨基]丙...  31-O-去甲基-Fk506  1,3,7-三羟基-8-甲氧基-3-甲基-1,2,...  1,3-二羟基-8-甲氧基-3-甲基-2,4-二氢...  (11alpha,12beta,16alpha)-...  6-氧杂苯并(3,4)-D-高雌甾-1,3,5(1...  3,4,5,13-四氢-3H-2-苯并噻吩并(5,...  4-氟-4'-甲基查耳酮  钼酸铋  焦磷酸锆  钇钒氧化物  锌二偏磷酸盐  三偏磷酸  N,N'-二甲基-2-甲基丙二酰胺  (2R)-2-(叔丁基磺酰基甲基)-N-[(2S)...