Online Database of Chemicals from Around the World

乙酰基胆碱受体alpha-子单元(125-148)
[CAS# 134152-16-2]

供应商
CAS#: 134152-16-2
产品: 乙酰基胆碱受体alpha-子单元(125-148)
暂时没有厂家供应该产品。
基本信息
产品名称 乙酰基胆碱受体alpha-子单元(125-148)
英文名 Acetylcholine Receptor alpha-Subunit (125-148)
别名 Acetylcholine Receptor Alpha-Subunit (Lys(125)-Thr(148)); Ach Receptors Alpha-Subunit (125-148); Ach-As-Receptor
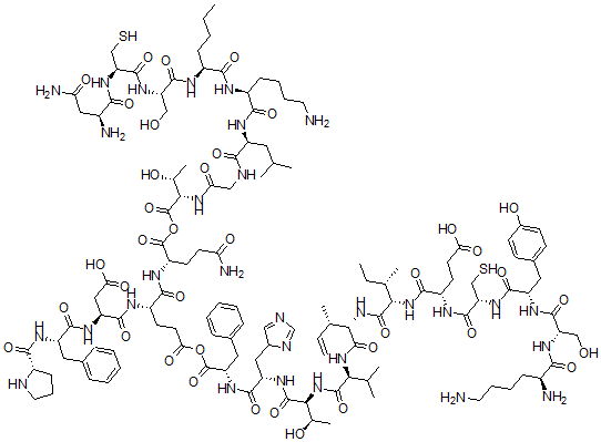
分子结构 CAS 登录号:134152-16-2, 乙酰基胆碱受体alpha-子单元(125-148)
分子式 C124H188N30O38S2
分子量 2771.15
CAS 登录号 134152-16-2
分子行输入简码 SMILES [C@H](C(=O)OC([C@@H](NC([C@@H](NC([C@@H](NC([C@@H](NC([C@H]1NCCC1)=O)CC2=CC=CC=C2)=O)CC(=O)O)=O)CCC(=O)OC([C@@H](NC([C@@H](NC([C@@H](NC([C@@H](NC([C@@H](NC([C@@H](NC([C@@H](NC([C@@H](NC([C@@H](NC([C@@H](NC([C@@H](N)CCCCN)=O)CO)=O)CC3=CC=C(O)C=C3)=O)CS)=O)CCC(=O)O)=O)[C@H](CC)C)=O)[C@H](C=C)C)=O)C(C)C)=O)[C@@H](C)O)=O)CC4C=NC=N4)=O)CC5=CC=CC=C5)=O)=O)CCC(=O)N)=O)(NC(CNC([C@@H](NC([C@@H](NC([C@@H](NC([C@@H](NC([C@@H](NC([C@@H](N)CC(=O)N)=O)CS)=O)CO)=O)CCCC)=O)CCCCN)=O)CC(C)C)=O)=O)[C@@H](C)O
国际化学标识码 InChI 1S/C124H188N30O38S2/c1-12-15-32-76(136-114(180)88(58-156)147-117(183)89(59-193)148-103(169)74(128)53-92(130)161)106(172)135-77(33-23-25-46-126)107(173)140-81(48-62(4)5)104(170)133-56-93(162)150-101(67(11)158)124(190)192-122(188)80(39-42-91(129)160)139-108(174)79(137-113(179)85(54-95(165)166)143-110(176)82(49-68-27-18-16-19-28-68)141-105(171)75-34-26-47-132-75)41-44-96(167)191-123(189)86(51-69-29-20-17-21-30-69)145-112(178)84(52-71-55-131-61-134-71)144-121(187)100(66(10)157)154-118(184)97(63(6)7)151-119(185)99(65(9)14-3)153-120(186)98(64(8)13-2)152-109(175)78(40-43-94(163)164)138-116(182)90(60-194)149-111(177)83(50-70-35-37-72(159)38-36-70)142-115(181)87(57-155)146-102(168)73(127)31-22-24-45-125/h14,16-21,27-30,35-38,55,61-67,71,73-90,97-101,132,155-159,193-194H,3,12-13,15,22-26,31-34,39-54,56-60,125-128H2,1-2,4-11H3,(H2,129,160)(H2,130,161)(H,133,170)(H,135,172)(H,136,180)(H,137,179)(H,138,182)(H,139,174)(H,140,173)(H,141,171)(H,142,181)(H,143,176)(H,144,187)(H,145,178)(H,146,168)(H,147,183)(H,148,169)(H,149,177)(H,150,162)(H,151,185)(H,152,175)(H,153,186)(H,154,184)(H,163,164)(H,165,166)/t64-,65-,66+,67+,71?,73-,74-,75-,76-,77-,78-,79-,80-,81-,82-,83-,84-,85-,86-,87-,88-,89-,90-,97-,98-,99-,100-,101-/m0/s1
国际化学标识检索码 InChIKey UQWBHSWSLFYVPG-ZMGANZJUSA-N
市场分析报告
请浏览乙酰基胆碱受体alpha-子单元(125-148)市场分析报告总目录
相关产品
(2-己酰氧基-3-己酰基硫基丙基)2-三甲基铵乙...  4-氨基-2-[4,6-二氨基-3-[6-(氨基甲...  N-环丙基甲基-4,14-二甲氧基吗喃  N-环丙基甲基-4-羟基-14-甲氧基吗喃  3-(2-甲氧基乙基)-2-[2-[[3-(2-甲...  8-(苯磺酰基氨基)-7-吡啶-3-基辛酸  4-甲基-5-硝基噻唑-2(3H)-硫酮  1-乙基萘并[1,2-d]噻唑-2(1H)-硫酮  (2S-(2alpha,11abeta,11bbe...  1,4-二(2,3-环氧丙氧基)丁-2-烯  N-[3-(二甲基氨基)丙基]十七氟辛烷磺酰胺  N-甲基-N-十六烷基胺  1-氯-2-甲基-2-丁烯  2-叔-丁基-4-甲氧基苯酚  N-(4-氯-O-甲苯基)-2-[(4-甲基-2-...