Online Database of Chemicals from Around the World

8-[3-[6-[[3,4-Dihydroxy-4-(Hydroxymethyl)Oxolan-2-Yl]Oxymethyl]-3,4,5-Trihydroxyoxan-2-Yl]Oxy-2-Hydroxy-3-Methylbutyl]-5,7-Dimethoxychromen-2-One
[CAS# 134018-84-1]

Suppliers
CAS#: 134018-84-1
Product: 8-[3-[6-[[3,4-Dihydroxy-4-(Hydroxymethyl)Oxolan-2-Yl]Oxymethyl]-3,4,5-Trihydroxyoxan-2-Yl]Oxy-2-Hydroxy-3-Methylbutyl]-5,7-Dimethoxychromen-2-One
No suppilers available for the product.
Identification
Name 8-[3-[6-[[3,4-Dihydroxy-4-(Hydroxymethyl)Oxolan-2-Yl]Oxymethyl]-3,4,5-Trihydroxyoxan-2-Yl]Oxy-2-Hydroxy-3-Methylbutyl]-5,7-Dimethoxychromen-2-One
Synonyms 8-[3-[6-[[3,4-Dihydroxy-4-(Hydroxymethyl)Tetrahydrofuran-2-Yl]Oxymethyl]-3,4,5-Trihydroxy-Tetrahydropyran-2-Yl]Oxy-2-Hydroxy-3-Methyl-Butyl]-5,7-Dimethoxy-Chromen-2-One; 8-[3-[[6-[[3,4-Dihydroxy-4-(Hydroxymethyl)-2-Tetrahydrofuranyl]Oxymethyl]-3,4,5-Trihydroxy-2-Tetrahydropyranyl]Oxy]-2-Hydroxy-3-Methylbutyl]-5,7-Dimethoxy-2-Chromenone; 8-[3-[6-[(3,4-Dihydroxy-4-Methylol-Tetrahydrofuran-2-Yl)Oxymethyl]-3,4,5-Trihydroxy-Tetrahydropyran-2-Yl]Oxy-2-Hydroxy-3-Methyl-Butyl]-5,7-Dimethoxy-Coumarin
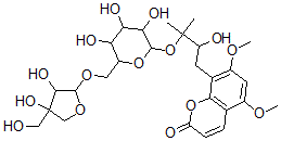
Molecular Structure CAS#: 134018-84-1, 8-[3-[6-[[3,4-Dihydroxy-4-(Hydroxymethyl)Oxolan-2-Yl]Oxymethyl]-3,4,5-Trihydroxyoxan-2-Yl]Oxy-2-Hydroxy-3-Methylbutyl]-5,7-Dimethoxychromen-2-One
Molecular Formula C27H38O15
Molecular Weight 602.59
CAS Registry Number 134018-84-1
SMILES C2=C(OC)C1=C(OC(=O)C=C1)C(=C2OC)CC(O)C(OC3OC(C(O)C(O)C3O)COC4OCC(O)(C4O)CO)(C)C
InChI 1S/C27H38O15/c1-26(2,17(29)7-13-15(37-4)8-14(36-3)12-5-6-18(30)41-22(12)13)42-24-21(33)20(32)19(31)16(40-24)9-38-25-23(34)27(35,10-28)11-39-25/h5-6,8,16-17,19-21,23-25,28-29,31-35H,7,9-11H2,1-4H3
InChIKey CKHYWBSGQWYTKJ-UHFFFAOYSA-N
Properties
Density 1.533g/cm3 (Cal.)
Boiling point 891.739°C at 760 mmHg (Cal.)
Flash point 291.635°C (Cal.)
Market Analysis Reports
List of Reports Available for 8-[3-[6-[[3,4-Dihydroxy-4-(Hydroxymethyl)Oxolan-2-Yl]Oxymethyl]-3,4,5-Trihydroxyoxan-2-Yl]Oxy-2-Hydroxy-3-Methylbutyl]-5,7-Dimethoxychromen-2-One
Related Products
Dipropyl 2-Methylidenebutanedioate  Bis(2-Chloroethyl) 2-Methylidenebutanedi...  N-Boc-2-Aminoethanesulfonyl Chloride  (2S)-3-[[(2S)-1-Hydroxy-3-(3H-Imidazol-4...  N-[(Acetylamino)Carbonyl]-2-Phenylbutana...  Tibenzate  18-Ethylenedithioprogesterone  N-[(Z)-3-[(Z)-2-[Formyl-[(2-Methyl-4-Oxo...  6-Bromo-3-[2-(6-Bromo-1H-Indol-3-Yl)-3H-...  Vitamin D3 Palmitate  (4-Aminophenyl)-(Carbamoylamino)Oxystibi...  (R)-(-)-2-Pentanol  2-(3-Bromophenyl)Imidazo[1,2-a]Pyrimidin...  (2R)-3-Hydroxy-2-(3-Hydroxy-3,7,11,15-Te...  8-[(2S,4S,5S,6R)-4,5-Dihydroxy-6-Methylo...