Online Database of Chemicals from Around the World

O-beta-D-吡喃半乳糖基-(1-3)-O-(O-beta-D-吡喃葡萄糖基-(1-4)-alpha-D-吡喃葡糖基-(1-2))-O-beta-D-吡喃半乳糖基-(1-4)-O-beta-D-吡喃葡萄糖基-(1-6)-beta-D-吡喃半乳糖
[CAS# 133957-16-1]

供应商
CAS#: 133957-16-1
产品: O-beta-D-吡喃半乳糖基-(1-3)-O-(O-beta-D-吡喃葡萄糖基-(1-4)-alpha-D-吡喃葡糖基-(1-2))-O-beta-D-吡喃半乳糖基-(1-4)-O-beta-D-吡喃葡萄糖基-(1-6)-beta-D-吡喃半乳糖
暂时没有厂家供应该产品。
基本信息
产品名称 O-beta-D-吡喃半乳糖基-(1-3)-O-(O-beta-D-吡喃葡萄糖基-(1-4)-alpha-D-吡喃葡糖基-(1-2))-O-beta-D-吡喃半乳糖基-(1-4)-O-beta-D-吡喃葡萄糖基-(1-6)-beta-D-吡喃半乳糖
英文名 O-beta-D-galactopyranosyl-(1-3)-O-(O-beta-D-glucopyranosyl-(1-4)-alpha-D-glucopyranuronosyl-(1-2))-O-beta-D-galactopyranosyl-(1-4)-O-beta-D-glucopyranosyl-(1-6)-beta-D-Galactopyranose
别名 6-[2-[4,5-Dihydroxy-2-(Hydroxymethyl)-6-[(3,4,5,6-Tetrahydroxytetrahydropyran-2-Yl)Methoxy]Tetrahydropyran-3-Yl]Oxy-5-Hydroxy-6-(Hydroxymethyl)-4-[3,4,5-Trihydroxy-6-(Hydroxymethyl)Tetrahydropyran-2-Yl]Oxy-Tetrahydropyran-3-Yl]Oxy-4,5-Dihydroxy-3-[3,4,5-Trihydroxy-6-(Hydroxymethyl)Tetrahydropyran-2-Yl]Oxy-Tetrahydropyran-2-Carboxylic Acid; 6-[[2-[[4,5-Dihydroxy-2-(Hydroxymethyl)-6-[(3,4,5,6-Tetrahydroxy-2-Tetrahydropyranyl)Methoxy]-3-Tetrahydropyranyl]Oxy]-5-Hydroxy-6-(Hydroxymethyl)-4-[[3,4,5-Trihydroxy-6-(Hydroxymethyl)-2-Tetrahydropyranyl]Oxy]-3-Tetrahydropyranyl]Oxy]-4,5-Dihydroxy-3-[[3,4,5-Trihydroxy-6-(Hydroxymethyl)-2-Tetrahydropyranyl]Oxy]-2-Tetrahydropyrancarboxylic Acid; 6-[2-[4,5-Dihydroxy-2-Methylol-6-[(3,4,5,6-Tetrahydroxytetrahydropyran-2-Yl)Methoxy]Tetrahydropyran-3-Yl]Oxy-5-Hydroxy-6-Methylol-4-(3,4,5-Trihydroxy-6-Methylol-Tetrahydropyran-2-Yl)Oxy-Tetrahydropyran-3-Yl]Oxy-4,5-Dihydroxy-3-(3,4,5-Trihydroxy-6-Methylol-Tetrahydropyran-2-Yl)Oxy-Tetrahydropyran-2-Carboxylic Acid
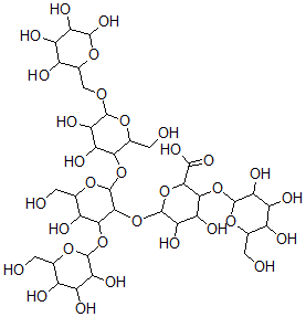
分子结构 CAS 登录号:133957-16-1, O-beta-D-吡喃半乳糖基-(1-3)-O-(O-beta-D-吡喃葡萄糖基-(1-4)-alpha-D-吡喃葡糖基-(1-2))-O-beta-D-吡喃半乳糖基-(1-4)-O-beta-D-吡喃葡萄糖基-(1-6)-beta-D-吡喃半乳糖
分子式 C36H60O32
分子量 1004.85
CAS 登录号 133957-16-1
分子行输入简码 SMILES C(C1C(O)C(O)C(O)C(O1)O)OC6C(C(C(OC5C(OC3C(C(C(OC2C(O)C(O)C(O)C(CO)O2)C(O3)C(O)=O)O)O)C(OC4C(C(C(O)C(O4)CO)O)O)C(O)C(CO)O5)C(O6)CO)O)O
国际化学标识码 InChI 1S/C36H60O32/c37-1-6-11(41)16(46)21(51)33(60-6)65-26-14(44)8(3-39)62-36(64-25-9(4-40)63-32(23(53)18(25)48)58-5-10-13(43)15(45)20(50)31(57)59-10)29(26)68-35-24(54)19(49)27(28(67-35)30(55)56)66-34-22(52)17(47)12(42)7(2-38)61-34/h6-29,31-54,57H,1-5H2,(H,55,56)
国际化学标识检索码 InChIKey ODLPTSAMUCYJMF-UHFFFAOYSA-N
市场分析报告
请浏览O-beta-D-吡喃半乳糖基-(1-3)-O-(O-beta-D-吡喃葡萄糖基-(1-4)-alpha-D-吡喃葡糖基-(1-2))-O-beta-D-吡喃半乳糖基-(1-4)-O-beta-D-吡喃葡萄糖基-(1-6)-beta-D-吡喃半乳糖市场分析报告总目录
相关产品
4,4,6-三甲基环己-2-烯-1-酮  2,3-二甲基环己烷-1-酮  四钠四偏磷酸盐  6-氨基-1-环丙基-9-[(2R,3R,4S,5...  9-磷杂双环[4.2.1]壬烷  3,12-二氢-6-羟基-3,3-二甲基-7H-吡...  (6-氨基己酸(5-24),gamma-谷氨酰(2...  2,7-二氢-7-苯基-2-(苯基甲基)-5-丙氧...  埃斯波霉素P  1-[(膦酰氧基)甲基]乙烷-1,2-二基二[(9...  1-(4-氟苯基)-4-[4-(5-氟嘧啶-2-基...  4,7-二氟-5,6-二羟基色胺肌酐  [(6E,9E,12E,15E)-20-甲氧基-2...  [(6E,9E,12E,15E)-20-甲氧基-2...  4-氨基-5-膦酰庚酸