Online Database of Chemicals from Around the World

3-乙酰氨基丙基2-甲基丙-2-烯酸酯
[CAS# 133651-68-0]

供应商
Achemica 瑞士 询价快递  
+41 (24) 466-2929
contact@achemica.com
化学品生产商(2010 年起)
深圳爱拓化学有限公司 中国 询价快递  
+86 13417589054//+86 13424336463
info@atomaxchem.com,atomax.chemicals@gmail.com,
QQ 交流
化学品生产商
基本信息
产品名称 3-乙酰氨基丙基2-甲基丙-2-烯酸酯
英文名 3-Acetamidopropyl 2-Methylprop-2-Enoate
别名 3-acetamidopropyl methacrylate
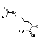
分子结构 CAS 登录号:133651-68-0, 3-乙酰氨基丙基2-甲基丙-2-烯酸酯
分子式 C9H15NO3
分子量 185.22
CAS 登录号 133651-68-0
分子行输入简码 SMILES O=C(C)NCCCOC(=O)C(C)=C
国际化学标识码 InChI 1S/C9H15NO3/c1-7(2)9(12)13-6-4-5-10-8(3)11/h1,4-6H2,2-3H3,(H,10,11)
国际化学标识检索码 InChIKey VBFGSLUUXNMGAI-UHFFFAOYSA-N
物理化学性质
密度 1.021g/cm3 (计算值)
沸点 357.071°C at 760 mmHg (计算值)
闪点 169.751°C (计算值)
折射率 1.449 (计算值)
市场分析报告
请浏览3-乙酰氨基丙基2-甲基丙-2-烯酸酯市场分析报告总目录
相关产品
2-呋喃基(4-甲基苯基)甲酮  1-环庚基-4,5-二苯基-1H-咪唑  3-甲氧基-4,5-二甲基-2-噻吩甲酰氯  4-氯-5-甲氧基-2-(4-吡啶基)嘧啶  1,5-二甲基-1H-吡咯-2-甲酰肼  2-(1H-吡咯-1-基)苯甲酰氯  5-(3-羟基-1-丙炔-1-基)-2-噻吩甲醛  1-[5-(3-羟基-1-丙炔-1-基)-2-噻吩...  2-氨基-6-异丙基-3-甲基苯酚  甲基3-异丙基-1,2-恶唑-5-羧酸酯  3-(2-甲基-2-丙基)-1,2-恶唑-5-羧酸  3-(1-吡咯烷基)-1,2-恶唑-5-甲醛  2-氯-1-(4-甲基-2-呋喃基)乙酮  2-溴-1-(2,5-二甲基-3-呋喃基)乙酮  5-乙酰基-3-糠酰胺