Identification
| Name |
2,3-Bis(14-Pyren-1-Yltetradecanoyloxy)Propyl 2-Trimethylazaniumylethyl Phosphate |
| Synonyms |
2,3-Bis(14-Pyren-1-Yltetradecanoyloxy)Propyl 2-Trimethylammonioethyl Phosphate; 2,3-Bis[1-Oxo-14-(1-Pyrenyl)Tetradecoxy]Propyl 2-Trimethylammonioethyl Phosphate; 3,5,9-Trioxa-4-Phosphatricosan-1-Aminium, 4-Hydroxy-N,N,N-Trimethyl-10-Oxo-7-((1-Oxo-14-(1-Pyrenyl)Tetradecyl)Oxy)-23-(1-Pyrenyl)-, Hydroxide, Inner Salt, 4-Oxide |
|
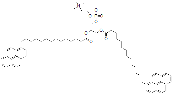
| Molecular Structure |
 |
| Molecular Formula |
C68H88NO8P |
| Molecular Weight |
1078.42 |
| CAS Registry Number |
133304-92-4 |
| SMILES |
C3=CC1=CC=CC2=CC=C4C(=C12)C3=C(C=C4)CCCCCCCCCCCCCC(OC(CO[P](OCC[N+](C)(C)C)([O-])=O)COC(=O)CCCCCCCCCCCCCC7=C8C6=C5C(=CC=CC5=CC=C6C=C7)C=C8)=O |
| InChI |
1S/C68H88NO8P/c1-69(2,3)48-49-75-78(72,73)76-51-60(77-64(71)35-25-21-17-13-9-5-7-11-15-19-23-29-53-37-39-59-43-41-55-31-27-33-57-45-47-62(53)68(59)66(55)57)50-74-63(70)34-24-20-16-12-8-4-6-10-14-18-22-28-52-36-38-58-42-40-54-30-26-32-56-44-46-61(52)67(58)65(54)56/h26-27,30-33,36-47,60H,4-25,28-29,34-35,48-51H2,1-3H3 |
| InChIKey |
XFHNRMZHGXJUMU-UHFFFAOYSA-N |
|