基本信息
| 产品名称 |
番薯苷I |
| 英文名 |
Scammonin I |
| 别名 |
Scammonin Vii; 11-((O-6-Deoxy-4-O-2-Methyl-1-Oxo-2-Butenyl)Glucopyranosyl-(1-4)-O-6-Deoxy-2-O-(2-Methyl-1-Oxobutyl)-Mannopyranosyl-(1-2)-O-Glucopyranosyl-(1-2)-6-Deoxyglucopyranosyl)Oxy-11-Hydroxyhexadecanoic Acid, Intramol 1,3'''-Ester; Hexadecanoic Acid, 11-((O-(E)-6-Deoxy-4-O-(2-Methyl-1-Oxo-2-Butenyl)-Beta-D-Glucopyranosyl-(1-4)-O-(S)-6-Deoxy-2-O-(2-Methyl-1-Oxobutyl)-Alpha-L-Mannopyranosyl-(1-2)-O-Beta-D-Glucopyranosyl-(1-2)-6-Deoxy-Beta-D-Glucopyranosyl)) |
|
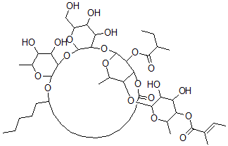
| 分子结构 |
 |
| 分子式 |
C50H84O21 |
| 分子量 |
1021.20 |
| CAS 登录号 |
131747-25-6 (145108-33-4) |
| 分子行输入简码 SMILES |
C(O)C3OC2OC1C(OC(C(O)C1O)C)OC(CCCCCCCCCC(OC4C(OC(=O)C(CC)C)C(OC2C(O)C3O)OC(C4OC5OC(C(OC(=O)C(=C/C)/C)C(O)C5O)C)C)=O)CCCCC |
| 国际化学标识码 InChI |
1S/C50H84O21/c1-9-12-18-21-30-22-19-16-14-13-15-17-20-23-32(52)66-43-40(69-47-38(58)37(57)39(28(7)62-47)67-45(59)25(4)10-2)29(8)63-50(44(43)68-46(60)26(5)11-3)71-42-36(56)34(54)31(24-51)65-49(42)70-41-35(55)33(53)27(6)61-48(41)64-30/h10,26-31,33-44,47-51,53-58H,9,11-24H2,1-8H3/b25-10+ |
| 国际化学标识检索码 InChIKey |
DGRGOOVTCYVEDQ-KIBLKLHPSA-N |
|