基本信息
| 产品名称 |
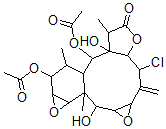
(3R-(3R*,3aR*,4S*,4aS*,5R*,6R*,6aS*,7aR*,7bS*,8R*,8aS*,9aR*,11S*,11aR*))-4,6-二(乙酰氧基)-11-氯十四氢-3a,8-二羟基-3,5,7b-三甲基-10-亚甲基-环氧乙烷并(7,8)环氧乙烷并(3',4')苯并(1',2':4,5)环癸(1,2-b)呋喃-2(3H)-酮 |
| 英文名 |
(3R-(3R*,3aR*,4S*,4aS*,5R*,6R*,6aS*,7aR*,7bS*,8R*,8aS*,9aR*,11S*,11aR*))-4,6-bis(acetyloxy)-11-chlorotetradecahydro-3a,8-dihydroxy-3,5,7b-trimethyl-10-methylene-Oxireno(7,8)oxireno(3',4')benzo(1',2':4,5)cyclodeca(1,2-b)furan-2(3H)-one |
| 别名 |
Oxireno(7,8)Oxireno(3',4')Benzo(1',2':4,5)Cyclodeca(1,2-B)Furan-2(3H)-One, 4,6-Bis(Acetyloxy)-11-Chlorotetradecahydro-3A,8-Dihydroxy-3,5,7B-Trimethyl-10-Methylene-, (3R-(3R*,3Ar*,4S*,4As*,5R*,6R*,6As*,7Ar*,7Bs*,8R*,8As*,9Ar*,11S*,11Ar*))- |
|
| 分子结构 |
 |
| 分子式 |
C24H31ClO10 |
| 分子量 |
514.96 |
| CAS 登录号 |
131400-39-0 |
| 分子行输入简码 SMILES |
CC13C5C(C(OC(=O)C)C(C1C(C2(C(OC(C2C)=O)C(C(C4C(C3O)O4)=C)Cl)O)OC(=O)C)C)O5 |
| 国际化学标识码 InChI |
1S/C24H31ClO10/c1-7-12-19(32-11(5)27)24(30)9(3)22(29)35-20(24)13(25)8(2)15-16(33-15)18(28)23(12,6)21-17(34-21)14(7)31-10(4)26/h7,9,12-21,28,30H,2H2,1,3-6H3 |
| 国际化学标识检索码 InChIKey |
PGRWMZUTBYCJHO-UHFFFAOYSA-N |
|