Online Database of Chemicals from Around the World

四-N-丁基铵二氯溴化物
[CAS# 13053-75-3]

供应商
Anward 香港 询价快递  
+852 8191 6999
sales@anward.com
化学品生产商(2012 年起)
International Laboratory Limited 美国 询价快递  
+1 (650) 278-9963
admin@intlab.org
化学品生产商(2002 年起)
基本信息
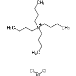
产品名称 四-N-丁基铵二氯溴化物
英文名 Tetra-N-Butylammonium Dichlorobromide
别名 Tetrabutylammonium Dichlorobromide; Tetra-n-butylammonium dichlorobromide
分子结构 CAS 登录号:13053-75-3, 四-N-丁基铵二氯溴化物
分子式 C16H36BrCl2N
CAS 登录号 13053-75-3
分子行输入简码 SMILES Cl[Br-]Cl.C([N+](CCCC)(CCCC)CCCC)CCC
国际化学标识码 InChI 1S/C16H36N.BrCl2/c1-5-9-13-17(14-10-6-2,15-11-7-3)16-12-8-4;2-1-3/h5-16H2,1-4H3;/q+1;-1
国际化学标识检索码 InChIKey XKVIJLXGNLMYCT-UHFFFAOYSA-N
物理化学性质
熔点 65°C (实验值)
折射率 (计算值)
安全数据
SDS 化学品安全技术说明书参考文本
市场分析报告
请浏览四-N-丁基铵二氯溴化物市场分析报告总目录
相关产品
N-(2-噻吩基)苯磺酰胺  (6Z)-4,5,8,9-四氢环辛四烯并[c][1...  2-甲基-2-丙基(3-氨基-2-羟基丙氧基)氨基...  8-甲氧基-3-甲基-3,4-二氢-1,7,12(...  alpha-D-吡喃木糖  N-[(苄氧基)羰基]-L-组氨酰甘氨酸  6H-环丙并[g]喹啉  6-羟基-4-(四氢-2-呋喃基氧基)-2(1H)...  5,6,7-三羟基-1H-吲哚-2-羧酸  3-乙氧基-2-羟基-6-硝基苯甲醛  乙酸酯,钛盐(4:1)  6H-氧杂环丁烷并[2,3-f][1,3]苯并二氧...  (9Z,11E)-9,11-十八碳二烯酸甲酯  (8E,14E,16E,18E,20E)-22-[...  8-氯-1,7-萘啶