Online Database of Chemicals from Around the World

Digoxin-phosphatidylethanolamine conjugate
[CAS# 129966-52-5]

Suppliers
CAS#: 129966-52-5
Product: Digoxin-phosphatidylethanolamine conjugate
No suppilers available for the product.
Identification
Name Digoxin-phosphatidylethanolamine conjugate
Synonyms 2-[2-[(3E)-3-[2-[2-[2,3-Di(Hexadecanoyloxy)Propoxy-Hydroxy-Phosphoryl]Oxyethylamino]-2-Oxo-Ethoxy]Imino-1-[6-[4,5-Dihydroxy-6-[[14-Hydroxy-10,13-Dimethyl-17-(5-Oxo-2H-Furan-3-Yl)-1,2,3,4,5,6,7,8,9,11,12,15,16,17-Tetradecahydrocyclopenta[A]Phenanthren-3-Yl]Oxy]-2-Methyl-Tetrahydropyran-3-Yl]Oxy-4-Hydroxy-2-Methyl-Tetrahydropyran-3-Yl]Oxy-Propoxy]Propylideneamino]Oxyacetic Acid; 2-[2-[(3E)-3-[2-[2-[2,3-Bis(1-Oxohexadecoxy)Propoxy-Hydroxyphosphoryl]Oxyethylamino]-2-Oxoethoxy]Imino-1-[[6-[[4,5-Dihydroxy-6-[[14-Hydroxy-10,13-Dimethyl-17-(5-Oxo-2H-Furan-3-Yl)-1,2,3,4,5,6,7,8,9,11,12,15,16,17-Tetradecahydrocyclopenta[A]Phenanthren-3-Yl]Oxy]-2-Methyl-3-Tetrahydropyranyl]Oxy]-4-Hydroxy-2-Methyl-3-Tetrahydropyranyl]Oxy]Propoxy]Propylideneamino]Oxyacetic Acid; 2-[2-[(3E)-3-[2-[2-[2,3-Di(Hexadecanoyloxy)Propoxy-Hydroxy-Phosphoryl]Oxyethylamino]-2-Keto-Ethoxy]Imino-1-[6-[4,5-Dihydroxy-6-[[14-Hydroxy-17-(5-Keto-2H-Furan-3-Yl)-10,13-Dimethyl-1,2,3,4,5,6,7,8,9,11,12,15,16,17-Tetradecahydrocyclopenta[A]Phenanthren-3-Yl]Oxy]-2-Methyl-Tetrahydropyran-3-Yl]Oxy-4-Hydroxy-2-Methyl-Tetrahydropyran-3-Yl]Oxy-Propoxy]Propylideneamino]Oxyacetic Acid
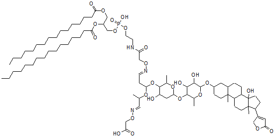
Molecular Structure CAS#: 129966-52-5, Digoxin-phosphatidylethanolamine conjugate
Molecular Formula C82H140N3O25P
Molecular Weight 1598.99
CAS Registry Number 129966-52-5
SMILES C(C(OC7C(OC(OC6C(O)C(O)C(OC5CC4C(C3C(C1(O)C(C(CC1)C2=CC(OC2)=O)(CC3)C)CC4)(CC5)C)OC6C)CC7O)C)OC(/C=N/OCC(=O)O)C)/C=N/OCC(=O)NCCO[P](OCC(OC(=O)CCCCCCCCCCCCCCC)COC(=O)CCCCCCCCCCCCCCC)(=O)O
InChI 1S/C82H140N3O25P/c1-8-10-12-14-16-18-20-22-24-26-28-30-32-34-70(90)99-53-63(107-71(91)35-33-31-29-27-25-23-21-19-17-15-13-11-9-2)54-103-111(96,97)102-47-46-83-68(87)55-100-84-45-41-73(104-57(3)51-85-101-56-69(88)89)109-77-58(4)105-74(50-67(77)86)110-78-59(5)106-79(76(94)75(78)93)108-62-38-42-80(6)61(49-62)36-37-66-65(80)39-43-81(7)64(40-44-82(66,81)95)60-48-72(92)98-52-60/h45,48,51,57-59,61-67,73-79,86,93-95H,8-44,46-47,49-50,52-56H2,1-7H3,(H,83,87)(H,88,89)(H,96,97)/b84-45+,85-51+
InChIKey RMZOQEGPACTFRL-QLBADTJSSA-N
Properties
Density 1.288g/cm3 (Cal.)
Market Analysis Reports
List of Reports Available for Digoxin-phosphatidylethanolamine conjugate
Related Products
(2R,3R,4S,5R)-2-[2-Amino-6-[(4-Nitrophen...  2-[[1-[[(2S)-1-Hydroxy-3-(1H-Indol-3-Yl)...  (3R)-3-[[(2S)-6-Amino-2-Methanesulfonami...  2-Amino-9-[[(2S)-2-(Hydroxymethyl)Cycloh...  Triethylammonium 1,2-di-O-hexadecyl-glyc...  (8S-(8alpha,9alpha,14alpha,17S*,18R*))-5...  Phenylmethyl (2S)-2-[[(2S)-1-(2-Methoxy-...  Chlormadinol acetate-3-O-alpha-arabinofu...  [(2R,3S,4R,5R)-5-(2-Amino-6-Oxo-3H-Purin...  Dilurgen  2-Piperidin-4-Ylethyl Nitrate  Pentasodium 4-[[4-[(3,6-Disulphonato-1-N...  6-Amino-5,8-Dimethyl-9H-Carbazol-3-Ol  [5-[4-[(1-Methyl4h-Pyridine-3-Carbonyl)A...  N2-(N-(N2-(N-(N-(N2-(1-L-alpha-Aspartyl-...