Online Database of Chemicals from Around the World

N,N'-((7,12-二(1-(癸基氧基)乙基)-3,8,13,17-四甲基-21H,23H-卟吩-2,18-二基)二(1-氧代-3,1-丙烷二基))二-L-天冬氨酸
[CAS# 129901-59-3]

供应商
CAS#: 129901-59-3
产品: N,N'-((7,12-二(1-(癸基氧基)乙基)-3,8,13,17-四甲基-21H,23H-卟吩-2,18-二基)二(1-氧代-3,1-丙烷二基))二-L-天冬氨酸
暂时没有厂家供应该产品。
基本信息
产品名称 N,N'-((7,12-二(1-(癸基氧基)乙基)-3,8,13,17-四甲基-21H,23H-卟吩-2,18-二基)二(1-氧代-3,1-丙烷二基))二-L-天冬氨酸
英文名 N,N'-((7,12-Bis(1-(Decyloxy)Ethyl)-3,8,13,17-Tetramethyl-21H,23H-Porphine-2,18-Diyl)Bis(1-Oxo-3,1-Propanediyl))Bis-L-Aspartic Acid
别名 N,N'-((7,12-Bis(1-(Decyloxy)Ethyl)-3,8,13,17-Tetramethyl-21H,23H-Porphine-2,18-Diyl)Bis(1-Oxo-3,1-Propanediyl))Bis-L-Aspartic Acid; 2,4-Bis(1-Decyloxyethyl)Deuteroporphyrinyl-6,7-Bisaspartic Acid; C10-Dp
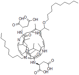
分子结构 CAS 登录号:129901-59-3, N,N'-((7,12-二(1-(癸基氧基)乙基)-3,8,13,17-四甲基-21H,23H-卟吩-2,18-二基)二(1-氧代-3,1-丙烷二基))二-L-天冬氨酸
分子式 C62H88N6O12
分子量 1109.41
CAS 登录号 129901-59-3
分子行输入简码 SMILES [C@@H](NC(=O)CCC1=C(C3=NC1=CC5=NC(=CC2=C(C(=C([NH]2)C=C4[NH]C(=C3)C(=C4C)C(OCCCCCCCCCC)C)C(OCCCCCCCCCC)C)C)C(=C5CCC(=O)N[C@H](C(=O)O)CC(=O)O)C)C)(C(=O)O)CC(=O)O
国际化学标识码 InChI 1S/C62H88N6O12/c1-9-11-13-15-17-19-21-23-29-79-41(7)59-39(5)47-31-45-37(3)43(25-27-55(69)67-53(61(75)76)35-57(71)72)49(63-45)34-50-44(26-28-56(70)68-54(62(77)78)36-58(73)74)38(4)46(64-50)32-51-60(40(6)48(66-51)33-52(59)65-47)42(8)80-30-24-22-20-18-16-14-12-10-2/h31-34,41-42,53-54,65-66H,9-30,35-36H2,1-8H3,(H,67,69)(H,68,70)(H,71,72)(H,73,74)(H,75,76)(H,77,78)/t41?,42?,53-,54-/m0/s1
国际化学标识检索码 InChIKey ASRBMCGLCGUUKP-DRAAIVICSA-N
物理化学性质
密度 1.186g/cm3 (计算值)
沸点 1314.663°C at 760 mmHg (计算值)
闪点 748.881°C (计算值)
市场分析报告
请浏览N,N'-((7,12-二(1-(癸基氧基)乙基)-3,8,13,17-四甲基-21H,23H-卟吩-2,18-二基)二(1-氧代-3,1-丙烷二基))二-L-天冬氨酸市场分析报告总目录
相关产品
(2S,4S,5R)-20-去(1-羟基丙基)-6...  8-(1,1-二甲基乙基)-7,8-二氢-5-甲基...  7-(4-溴丁基)-3,3,11,11-四甲基-1...  (4R)-5-[[(2S)-5-(二氨基亚甲基氨基...  (Z)-N'-甲基-N-[2-[[2-(甲基氨基甲...  (5-二乙基氨基-2-甲基戊-3-炔-2-基)2-...  6,8-二(苯基氨基)萘-1-磺酸  (2R,3R,4S,5S,6R)-2-(2-苯基乙...  (2S,3S,4R,5R)-5-[6-氨基-2-[...  N-乙酰基-2-脱氧-2,3-二氟神经氨酸  (2R)-2-氨基-4-氧代-5-膦酰戊酸  (5R,6R)-7-乙基-5-(3-羟基苯甲酰基)...  N-乙酰基-3-氟神经氨酸  Ethyl 21,21,21-Trifluoroa...  (2S)-2-氨基-3-(3-叠氮基-4-羟基苯基...