基本信息
| 产品名称 |
5-环十九烷基-N-(1,3,4,5-四羟基十九烷-2-基)戊酰胺 |
| 英文名 |
5-Cyclononadecyl-N-(1,3,4,5-Tetrahydroxynonadecan-2-Yl)Pentanamide |
| 别名 |
5-Cyclononadecyl-N-[2,3,4-Trihydroxy-1-(Hydroxymethyl)Octadecyl]Pentanamide; 5-Cyclononadecyl-N-(2,3,4-Trihydroxy-1-Methylol-Octadecyl)Valeramide; Halyminine |
|
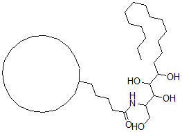
| 分子结构 |
 |
| 分子式 |
C43H85NO5 |
| 分子量 |
696.15 |
| CAS 登录号 |
129780-95-6 |
| 分子行输入简码 SMILES |
C(O)C(NC(=O)CCCCC1CCCCCCCCCCCCCCCCCC1)C(O)C(O)C(O)CCCCCCCCCCCCCC |
| 国际化学标识码 InChI |
1S/C43H85NO5/c1-2-3-4-5-6-7-8-17-20-23-26-29-35-40(46)43(49)42(48)39(37-45)44-41(47)36-31-30-34-38-32-27-24-21-18-15-13-11-9-10-12-14-16-19-22-25-28-33-38/h38-40,42-43,45-46,48-49H,2-37H2,1H3,(H,44,47) |
| 国际化学标识检索码 InChIKey |
FONCLYIDKHNFIL-UHFFFAOYSA-N |
|