Online Database of Chemicals from Around the World

1-(N-甲基-D-丙氨酸)-5-L-精氨酸微囊藻毒素LA
[CAS# 129678-94-0]

供应商
CAS#: 129678-94-0
产品: 1-(N-甲基-D-丙氨酸)-5-L-精氨酸微囊藻毒素LA
暂时没有厂家供应该产品。
基本信息
产品名称 1-(N-甲基-D-丙氨酸)-5-L-精氨酸微囊藻毒素LA
英文名 1-(N-Methyl-D-alanine)-5-L-argininemicrocystin LA
别名 15-(3-Guanidinopropyl)-8-Isobutyl-18-[(1E,3E)-6-Methoxy-3,5-Dimethyl-7-Phenyl-Hepta-1,3-Dienyl]-1,2,5,12,19-Pentamethyl-3,6,9,13,16,20,25-Heptaoxo-1,4,7,10,14,17,21-Heptazacyclopentacosane-11,22-Dicarboxylic Acid; 15-(3-Guanidinopropyl)-8-Isobutyl-18-[(1E,3E)-6-Methoxy-3,5-Dimethyl-7-Phenylhepta-1,3-Dienyl]-1,2,5,12,19-Pentamethyl-3,6,9,13,16,20,25-Heptaoxo-1,4,7,10,14,17,21-Heptazacyclopentacosane-11,22-Dicarboxylic Acid; 15-(3-Guanidinopropyl)-8-Isobutyl-3,6,9,13,16,20,25-Heptaketo-18-[(1E,3E)-6-Methoxy-3,5-Dimethyl-7-Phenyl-Hepta-1,3-Dienyl]-1,2,5,12,19-Pentamethyl-1,4,7,10,14,17,21-Heptazacyclopentacosane-11,22-Dicarboxylic Acid
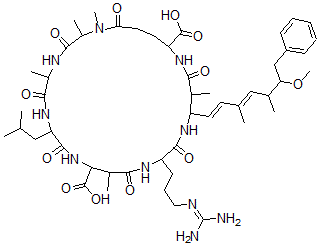
分子结构 CAS 登录号:129678-94-0, 1-(N-甲基-D-丙氨酸)-5-L-精氨酸微囊藻毒素LA
分子式 C49H76N10O12
分子量 997.20
CAS 登录号 129678-94-0
分子行输入简码 SMILES C2=C(CC(OC)C(/C=C(/C=C/C1NC(=O)C(NC(=O)C(C(NC(=O)C(NC(=O)C(NC(=O)C(N(C(=O)CCC(NC(=O)C1C)C(O)=O)C)C)C)CC(C)C)C(O)=O)C)CCCN=C(N)N)C)C)C=CC=C2
国际化学标识码 InChI 1S/C49H76N10O12/c1-26(2)23-37-46(66)58-40(48(69)70)30(6)42(62)55-35(17-14-22-52-49(50)51)45(65)54-34(19-18-27(3)24-28(4)38(71-10)25-33-15-12-11-13-16-33)29(5)41(61)56-36(47(67)68)20-21-39(60)59(9)32(8)44(64)53-31(7)43(63)57-37/h11-13,15-16,18-19,24,26,28-32,34-38,40H,14,17,20-23,25H2,1-10H3,(H,53,64)(H,54,65)(H,55,62)(H,56,61)(H,57,63)(H,58,66)(H,67,68)(H,69,70)(H4,50,51,52)/b19-18+,27-24+
国际化学标识检索码 InChIKey XVXFRYMCSIZPFI-ORZJCNCZSA-N
物理化学性质
密度 1.302g/cm3 (计算值)
市场分析报告
请浏览1-(N-甲基-D-丙氨酸)-5-L-精氨酸微囊藻毒素LA市场分析报告总目录
相关产品
二氢-1,4-乙桥-1H,3H-噻吩并(3,4-c...  二氢-1,4-二甲基-1,4-乙桥-1H,3H-噻...  二氢-7-丁基-1,4-乙桥-1H,3H-噻吩并(...  二氢-1,4-乙桥-1H,3H-呋喃并(3,4-c...  二氢-1,4-二甲基-1,4-乙桥-1H,3H-呋...  四氢-6-硫代-1,4-乙桥-1H,3H-噻吩并(...  四氢-6-硫代-1,4-乙桥-1H,3H-呋喃并(...  二氢-1,4-乙桥-1H,3H-呋喃并(3,4-c...  N,N-二[二(苯氧基)膦基]苯胺  2-[4-[2-[[(2S)-2-羟基-3-(苯氧...  3,6,6-三甲基-4-氧代-5,7-二氢-1H-...  2,3-二[[(8E,11E,14E)-二十-8,...  2-甲基-苯并(lmn)(3,8)菲罗啉鎓  [4-[2-(异喹啉-5-基磺酰基氨基)-3-(4...  4-[5-[(3R)-二噻戊环-3-基]戊酰氨基]...