Online Database of Chemicals from Around the World

2''-(Adenosine-5'-thiophosphoryl)tobramycin
[CAS# 129545-98-8]

Suppliers
CAS#: 129545-98-8
Product: 2''-(Adenosine-5'-thiophosphoryl)tobramycin
No suppilers available for the product.
Identification
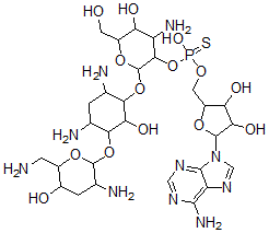
Name 2''-(Adenosine-5'-thiophosphoryl)tobramycin
Synonyms 2-[[[4-Amino-2-[4,6-Diamino-3-[3-Amino-6-(Aminomethyl)-5-Hydroxy-Tetrahydropyran-2-Yl]Oxy-2-Hydroxy-Cyclohexoxy]-5-Hydroxy-6-(Hydroxymethyl)Tetrahydropyran-3-Yl]Oxy-Hydroxy-Phosphinothioyl]Oxymethyl]-5-(6-Aminopurin-9-Yl)Tetrahydrofuran-3,4-Diol; 2-[[[4-Amino-2-[4,6-Diamino-3-[[3-Amino-6-(Aminomethyl)-5-Hydroxy-2-Tetrahydropyranyl]Oxy]-2-Hydroxycyclohexoxy]-5-Hydroxy-6-(Hydroxymethyl)-3-Tetrahydropyranyl]Oxy-Hydroxyphosphinothioyl]Oxymethyl]-5-(6-Amino-9-Purinyl)Tetrahydrofuran-3,4-Diol; 2-[[[4-Amino-2-[4,6-Diamino-3-[3-Amino-6-(Aminomethyl)-5-Hydroxy-Tetrahydropyran-2-Yl]Oxy-2-Hydroxy-Cyclohexoxy]-5-Hydroxy-6-Methylol-Tetrahydropyran-3-Yl]Oxy-Hydroxy-Thiophosphoryl]Oxymethyl]-5-(6-Aminopurin-9-Yl)Tetrahydrofuran-3,4-Diol
Molecular Structure CAS#: 129545-98-8, 2''-(Adenosine-5'-thiophosphoryl)tobramycin
Molecular Formula C28H49N10O14PS
Molecular Weight 812.79
CAS Registry Number 129545-98-8
SMILES C2=NC1=C(N=CN=C1[N]2C3OC(C(O)C3O)CO[P](=S)(OC6C(OC5C(O)C(OC4OC(C(O)CC4N)CN)C(N)CC5N)OC(C(O)C6N)CO)O)N
InChI 1S/C28H49N10O14PS/c29-3-12-11(40)2-10(32)27(48-12)50-21-8(30)1-9(31)22(20(21)44)51-28-23(15(33)17(41)13(4-39)49-28)52-53(45,54)46-5-14-18(42)19(43)26(47-14)38-7-37-16-24(34)35-6-36-25(16)38/h6-15,17-23,26-28,39-44H,1-5,29-33H2,(H,45,54)(H2,34,35,36)
InChIKey PZILKSUBCRXAFI-UHFFFAOYSA-N
Properties
Density 2.187g/cm3 (Cal.)
Boiling point 1118.773°C at 760 mmHg (Cal.)
Flash point 630.411°C (Cal.)
Market Analysis Reports
List of Reports Available for 2''-(Adenosine-5'-thiophosphoryl)tobramycin
Related Products
(OC-6-43)-Amminebis(butanoato-O)dichloro...  (5R-cis)-5,6,11,11alpha-Tetrahydro-5-(4-...  (2S,3S,4S,5R,6S)-3,4,5-Trihydroxy-6-[(2R...  Sodium 2,4,6-Triiodo-3,5-Bis(Propanoylam...  4-[(3S,4R)-4-(4-Hydroxyphenyl)Hexan-3-Yl...  4-Amino-1-[(2R,4S,5R)-4-Hydroxy-5-(Hydro...  Ammine dibenzoatodichloro(propylamine)pl...  Amminedichloro(cyclohexanamine)bis(penta...  2,3-Dihydroxypropyl (E)-Pentadec-10-Enoa...  N'-(4-Chlorophenyl)Sulfonyl-N-[(2S)-1-[[...  1-(4-Chlorophenyl)-2-(1,2,4-Triazol-1-Yl...  [[(2R,3S,4R,5R)-5-(2-Amino-6-Oxo-3H-Puri...  N-Cyclohexyl-1,2,3,4-Tetrahydro-[1]Benzo...  (2S)-4-Amino-2-[[(2S)-2-[[(2S)-3-(1H-Ind...  3-[3-(Diethylaminomethyl)-4-Hydroxypheny...