Online Database of Chemicals from Around the World

1-(L-2-氨基丁酸)-3-L-异亮氨酸-4-(2-巯基-L-色氨酸)-alpha-鹅膏毒素去-S-氧化物
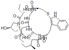
[CAS# 129274-06-2]

供应商
CAS#: 129274-06-2
产品: 1-(L-2-氨基丁酸)-3-L-异亮氨酸-4-(2-巯基-L-色氨酸)-alpha-鹅膏毒素去-S-氧化物
暂时没有厂家供应该产品。
基本信息
产品名称 1-(L-2-氨基丁酸)-3-L-异亮氨酸-4-(2-巯基-L-色氨酸)-alpha-鹅膏毒素去-S-氧化物
英文名 1-(L-2-Aminobutanoic Acid)-3-L-Isoleucine-4-(2-Mercapto-L-Tryptophan)-alpha-Amanitin De-S-Oxide
别名 1-S-Deoxo-Abu-3-Ile-Amaninamide; Amaninamide, S-Deoxo-Abu(1)-Ile(3)-; Amaninamide, S-Deoxo-Alpha-Aminobutyryl Acid(1)-Isoleucine(3)-
分子结构 CAS 登录号:129274-06-2, 1-(L-2-氨基丁酸)-3-L-异亮氨酸-4-(2-巯基-L-色氨酸)-alpha-鹅膏毒素去-S-氧化物
分子式 C39H55N9O9S
分子量 825.98
CAS 登录号 129274-06-2
分子行输入简码 SMILES [C@@H]15N(C(=O)[C@@H](NC(=O)[C@H]2NC(=O)CNC(=O)[C@@H](NC(=O)CNC(=O)C(NC(=O)[C@@H](NC1=O)[C@H](CC)C)CC3=C(SC2)[NH]C4=CC=CC=C34)[C@H](CC)C)CC)C[C@H](O)C5
国际化学标识码 InChI 1S/C39H55N9O9S/c1-6-19(4)31-36(55)41-15-29(50)42-27-18-58-38-23(22-11-9-10-12-25(22)45-38)14-26(33(52)40-16-30(51)46-31)44-37(56)32(20(5)7-2)47-35(54)28-13-21(49)17-48(28)39(57)24(8-3)43-34(27)53/h9-12,19-21,24,26-28,31-32,45,49H,6-8,13-18H2,1-5H3,(H,40,52)(H,41,55)(H,42,50)(H,43,53)(H,44,56)(H,46,51)(H,47,54)/t19-,20-,21+,24-,26?,27-,28-,31-,32-/m0/s1
国际化学标识检索码 InChIKey OMOWRDIQAIEEMH-HFIVCSRHSA-N
市场分析报告
请浏览1-(L-2-氨基丁酸)-3-L-异亮氨酸-4-(2-巯基-L-色氨酸)-alpha-鹅膏毒素去-S-氧化物市场分析报告总目录
相关产品
(2S)-4-氨基-2-[[(2S)-2-[[2-...  焦谷氨酰-谷氨酰-甘氨酰-丝氨酰-天冬氨酰胺  (2S)-2-[[(2S)-3-羟基-2-[[2-...  3-戊-1,2-二烯基-2,3-二氢-1-苯并呋喃...  N-[5-[[5-(苯甲酰基氨基)-9,10-二氧...  4-氟苯并(j)荧蒽  10-氟苯并(j)荧蒽  8-氟-1,2,3,4-四氢-2,4-甲桥吖啶-9...  Kijimicin  (7R)-10-甲基-7-[(5-甲基-1H-咪唑...  [(3aS,9aR)-2-氧代-3,3a,4,9a...  1-(苯基甲基)-3a,4,9,9a-四氢-3H-...  (6R)-N-[3-[4-(2-氨基乙基)-2,6...  2-(二甲基氨基)乙基癸酸酯马来酸盐(1:1)  2-(二甲基氨基)乙基十六烷酸酯(Z)-2-丁烯二...