Online Database of Chemicals from Around the World

[4-[4,5-Dihydroxy-6-Methyl-3-(3,4,5-Trihydroxy-6-Methyloxan-2-Yl)Oxyoxan-2-Yl]Oxy-6-[2-(3,4-Dihydroxyphenyl)Ethoxy]-5-Hydroxy-2-(Hydroxymethyl)Oxan-3-Yl] (E)-3-(3,4-Dihydroxyphenyl)Prop-2-Enoate
[CAS# 128988-15-8]

Suppliers
CAS#: 128988-15-8
Product: [4-[4,5-Dihydroxy-6-Methyl-3-(3,4,5-Trihydroxy-6-Methyloxan-2-Yl)Oxyoxan-2-Yl]Oxy-6-[2-(3,4-Dihydroxyphenyl)Ethoxy]-5-Hydroxy-2-(Hydroxymethyl)Oxan-3-Yl] (E)-3-(3,4-Dihydroxyphenyl)Prop-2-Enoate
No suppilers available for the product.
Identification
Name [4-[4,5-Dihydroxy-6-Methyl-3-(3,4,5-Trihydroxy-6-Methyloxan-2-Yl)Oxyoxan-2-Yl]Oxy-6-[2-(3,4-Dihydroxyphenyl)Ethoxy]-5-Hydroxy-2-(Hydroxymethyl)Oxan-3-Yl] (E)-3-(3,4-Dihydroxyphenyl)Prop-2-Enoate
Synonyms [4-[4,5-Dihydroxy-6-Methyl-3-(3,4,5-Trihydroxy-6-Methyl-Tetrahydropyran-2-Yl)Oxy-Tetrahydropyran-2-Yl]Oxy-6-[2-(3,4-Dihydroxyphenyl)Ethoxy]-5-Hydroxy-2-(Hydroxymethyl)Tetrahydropyran-3-Yl] (E)-3-(3,4-Dihydroxyphenyl)Prop-2-Enoate; (E)-3-(3,4-Dihydroxyphenyl)Prop-2-Enoic Acid [4-[[4,5-Dihydroxy-6-Methyl-3-[(3,4,5-Trihydroxy-6-Methyl-2-Tetrahydropyranyl)Oxy]-2-Tetrahydropyranyl]Oxy]-6-[2-(3,4-Dihydroxyphenyl)Ethoxy]-5-Hydroxy-2-(Hydroxymethyl)-3-Tetrahydropyranyl] Ester; (E)-3-(3,4-Dihydroxyphenyl)Acrylic Acid [4-[4,5-Dihydroxy-6-Methyl-3-(3,4,5-Trihydroxy-6-Methyl-Tetrahydropyran-2-Yl)Oxy-Tetrahydropyran-2-Yl]Oxy-6-[2-(3,4-Dihydroxyphenyl)Ethoxy]-5-Hydroxy-2-Methylol-Tetrahydropyran-3-Yl] Ester
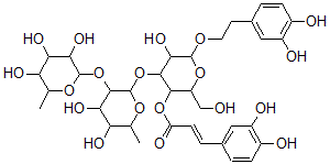
Molecular Structure CAS#: 128988-15-8, [4-[4,5-Dihydroxy-6-Methyl-3-(3,4,5-Trihydroxy-6-Methyloxan-2-Yl)Oxyoxan-2-Yl]Oxy-6-[2-(3,4-Dihydroxyphenyl)Ethoxy]-5-Hydroxy-2-(Hydroxymethyl)Oxan-3-Yl] (E)-3-(3,4-Dihydroxyphenyl)Prop-2-Enoate
Molecular Formula C35H46O19
Molecular Weight 770.74
CAS Registry Number 128988-15-8
SMILES C5=C(CCOC4OC(C(OC(=O)\C=C\C1=CC(=C(O)C=C1)O)C(OC2OC(C(O)C(O)C2OC3OC(C(O)C(O)C3O)C)C)C4O)CO)C=CC(=C5O)O
InChI 1S/C35H46O19/c1-14-24(42)26(44)28(46)34(49-14)54-32-27(45)25(43)15(2)50-35(32)53-31-29(47)33(48-10-9-17-4-7-19(38)21(40)12-17)51-22(13-36)30(31)52-23(41)8-5-16-3-6-18(37)20(39)11-16/h3-8,11-12,14-15,22,24-40,42-47H,9-10,13H2,1-2H3/b8-5+
InChIKey BHIVONXIYZYGEJ-VMPITWQZSA-N
Properties
Density 1.623g/cm3 (Cal.)
Boiling point 1026.182°C at 760 mmHg (Cal.)
Flash point 317.13°C (Cal.)
Market Analysis Reports
List of Reports Available for [4-[4,5-Dihydroxy-6-Methyl-3-(3,4,5-Trihydroxy-6-Methyloxan-2-Yl)Oxyoxan-2-Yl]Oxy-6-[2-(3,4-Dihydroxyphenyl)Ethoxy]-5-Hydroxy-2-(Hydroxymethyl)Oxan-3-Yl] (E)-3-(3,4-Dihydroxyphenyl)Prop-2-Enoate
Related Products
Isorhamnetin 3-O-alpha-rhamnopyranosyl(1...  Anhydroicaritin 3-galactosyl(1-3)rhamnos...  Anhydroicaritin 3-(6-O-acetylgalactosyl(...  Quercetin 3-O-alpha-rhamnopyranosyl(1-2)...  Kaempferol 3-O-alpha-rhamnopyranosyl(1-2...  1-Amino-4-[(3-Amino-4-Sulfophenyl)Amino]...  N-(2-Aminoethyl)benzene-1,2-diamine  Citreamicin beta  1-((Acetyloxy)Methyl)-3A,4-Dihydro-16-Hy...  (8S,9S,11R,13S,14S,17S)-11-(2-Fluoroethy...  (8S,9S,11S,13S,14S,16R,17R)-16-Fluoro-11...  (8S,9S,11S,13S,14S,16R,17R)-11-Ethyl-16-...  (4-Chlorophenyl)-(7-Propan-2-Yl-3,7-Diaz...  1-Methyl-2-Nitro-6-Phenylimidazo[4,5-b]P...  2-(4-Chlorophenyl)-3-Ethyl-5-Oxopyridazi...