Online Database of Chemicals from Around the World

Phlinoside A
[CAS# 128988-14-7]

供应商
CAS#: 128988-14-7
产品: Phlinoside A
暂时没有厂家供应该产品。
基本信息
产品名称 Phlinoside A
英文名 Phlinoside A
别名 [4-[4,5-Dihydroxy-6-Methyl-3-[3,4,5-Trihydroxy-6-(Hydroxymethyl)Tetrahydropyran-2-Yl]Oxy-Tetrahydropyran-2-Yl]Oxy-6-[2-(3,4-Dihydroxyphenyl)Ethoxy]-5-Hydroxy-2-(Hydroxymethyl)Tetrahydropyran-3-Yl] (E)-3-(3,4-Dihydroxyphenyl)Prop-2-Enoate; (E)-3-(3,4-Dihydroxyphenyl)Prop-2-Enoic Acid [4-[[4,5-Dihydroxy-6-Methyl-3-[[3,4,5-Trihydroxy-6-(Hydroxymethyl)-2-Tetrahydropyranyl]Oxy]-2-Tetrahydropyranyl]Oxy]-6-[2-(3,4-Dihydroxyphenyl)Ethoxy]-5-Hydroxy-2-(Hydroxymethyl)-3-Tetrahydropyranyl] Ester; (E)-3-(3,4-Dihydroxyphenyl)Acrylic Acid [4-[4,5-Dihydroxy-6-Methyl-3-(3,4,5-Trihydroxy-6-Methylol-Tetrahydropyran-2-Yl)Oxy-Tetrahydropyran-2-Yl]Oxy-6-[2-(3,4-Dihydroxyphenyl)Ethoxy]-5-Hydroxy-2-Methylol-Tetrahydropyran-3-Yl] Ester
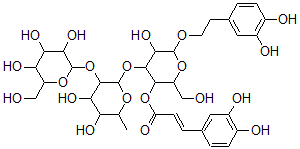
分子结构 CAS 登录号:128988-14-7, Phlinoside A
分子式 C35H46O20
分子量 786.74
CAS 登录号 128988-14-7
分子行输入简码 SMILES C5=C(CCOC4OC(C(OC(=O)\C=C\C1=CC(=C(O)C=C1)O)C(OC2OC(C(O)C(O)C2OC3OC(C(O)C(O)C3O)CO)C)C4O)CO)C=CC(=C5O)O
国际化学标识码 InChI 1S/C35H46O20/c1-14-24(43)27(46)32(55-34-28(47)26(45)25(44)21(12-36)51-34)35(50-14)54-31-29(48)33(49-9-8-16-3-6-18(39)20(41)11-16)52-22(13-37)30(31)53-23(42)7-4-15-2-5-17(38)19(40)10-15/h2-7,10-11,14,21-22,24-41,43-48H,8-9,12-13H2,1H3/b7-4+
国际化学标识检索码 InChIKey SDRRSTAVRUERNC-QPJJXVBHSA-N
物理化学性质
密度 1.666g/cm3 (计算值)
沸点 1065.7°C at 760 mmHg (计算值)
闪点 328.835°C (计算值)
市场分析报告
请浏览Phlinoside A市场分析报告总目录
相关产品
[4-[4,5-二羟基-6-甲基-3-(3,4,5...  异鼠李亭 3-O-alpha-吡喃鼠李糖基(1-2...  去水淫羊藿黄素3-半乳糖基(1-3)鼠李糖苷-7-...  去水淫羊藿黄素3-(6-O-乙酰基半乳糖基(1-3...  槲皮素 3-O-alpha-吡喃鼠李糖基(1-2)...  山柰酚 3-O-alpha-吡喃鼠李糖基(1-2)...  1-氨基-4-[(3-氨基-4-磺基苯基)氨基]-...  N-(2-氨基乙基)苯-1,2-二胺  柠檬小单孢菌素beta  1-((乙酰氧基)甲基)-3A,4-二氢-16-羟...  (8S,9S,11R,13S,14S,17S)-1...  (8S,9S,11S,13S,14S,16R,17...  (8S,9S,11S,13S,14S,16R,17...  (4-氯苯基)-(7-丙-2-基-3,7-二氮杂双...  1-甲基-2-硝基-6-苯基咪唑并[4,5-b]吡...