Online Database of Chemicals from Around the World

Ruthenium Red Tetrahydrate
[CAS# 12790-48-6]

Suppliers
Alfa Chemistry USA Inquire  
+1 (201) 478-8534
inquiry@alfa-chemistry.com
Chemical distributor since 2012
chemBlink standard supplier since 2012
Colonial Metals, Inc. USA Inquire  
+1 (410) 398-7200 / (800) 962-1537
sales@colonialmetals.com,
Chemical manufacturer
International Laboratory Limited USA Inquire  
+1 (650) 278-9963
admin@intlab.org
Chemical manufacturer since 2002
Identification
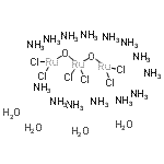
Name Ruthenium Red Tetrahydrate
Molecular Structure CAS#: 12790-48-6, Ruthenium Red Tetrahydrate
Molecular Formula H50Cl6N14O6Ru3
Molecular Weight 858.42
CAS Registry Number 12790-48-6
SMILES N.N.N.N.N.N.N.N.N.N.N.N.N.N.O.O.O.O.O([Ru](Cl)Cl)[Ru](O[Ru](Cl)Cl)(Cl)Cl
InChI 1S/6ClH.14H3N.4H2O.2O.3Ru/h6*1H;14*1H3;4*1H2;;;;;/q;;;;;;;;;;;;;;;;;;;;;;;;;;3*+2/p-6
InChIKey UOBLCSVRCVTKCY-UHFFFAOYSA-H
Properties
Refractive index (Cal.)
Safety Data
SDS Available
Market Analysis Reports
List of Reports Available for Ruthenium Red Tetrahydrate
Related Products
(4S,5R)-5-Isopropyl-2-Oxo-1,3-Oxazolidin...  1-(4-Amino-6-Methyl-3-Pyridinyl)Ethanone  1-(3-Methyl-5-Phenyl-1,2-Oxazol-4-Yl)Eth...  1,1'-(3-Methyl-2H-azirene-2,2-diyl)dieth...  (2S,4R,5R)-5-Acetamido-2-[(2S,3S,5S)-2-[...  (E)-N-Hydroxy-1-(4-Methoxy-1H-Benzimidaz...  Methyl (2Z)-Cyano[(Fluoromethoxy)Imino]A...  2-Methyl-3-Furancarboximidamide Hydrochl...  (4S)-1-Methyl-4-Sulfanyl-L-Prolinamide  Isobutyl 3-(Methylsulfanyl)Butanoate  5,5-Diisopropyl-4,5-Dihydro-1,2,3-Thiadi...  1-Methyl-2-(2-Propyn-1-Yloxy)Cyclohexene  6-Methyl-1-(2-Propyn-1-Yloxy)Cyclohexene  2-Methoxy-4H-Pyran-4-One  3-Ethyl-4-Isopropyldihydro-2(3H)-Furanon...