Online Database of Chemicals from Around the World

Desertomycin
[CAS# 12728-25-5]

Suppliers
CAS#: 12728-25-5
Product: Desertomycin
No suppilers available for the product.
Identification
Name Desertomycin
Synonyms 42-(6-Amino-3-Hydroxyhexan-2-Yl)-8,10,16,20,24,26,28,30,32,34,36,38-Dodecahydroxy-3,7,9,15,19,21,31,33-Octamethyl-23-[(2S,3R,4R,5R,6S)-3,4,5-Trihydroxy-6-(Hydroxymethyl)Oxan-2-Yl]Oxy-1-Oxacyclodotetraconta-3,13,17,21,39-Pentaen-2-One; (3E,13E,17E,21E,39E)-42-(5-Amino-2-Hydroxy-1-Methyl-Pentyl)-8,10,16,20,24,26,28,30,32,34,36,38-Dodecahydroxy-3,7,9,15,19,21,31,33-Octamethyl-23-[(2S,3R,4R,5R,6S)-3,4,5-Trihydroxy-6-(Hydroxymethyl)Tetrahydropyran-2-Yl]Oxy-1-Oxacyclodotetraconta-3,13,17,21,39-Pentaen-2-One; 42-(5-Amino-2-Hydroxy-1-Methyl-Pentyl)-8,10,16,20,24,26,28,30,32,34,36,38-Dodecahydroxy-3,7,9,15,19,21,31,33-Octamethyl-23-[(2S,3R,4R,5R,6S)-3,4,5-Trihydroxy-6-(Hydroxymethyl)Tetrahydropyran-2-Yl]Oxy-1-Oxacyclodotetraconta-3,13,17,21,39-Pentaen-2-One
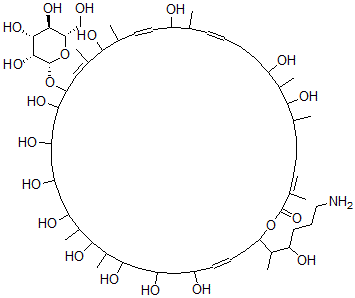
Molecular Structure CAS#: 12728-25-5, Desertomycin
Molecular Formula C61H109NO21
Molecular Weight 1192.53
CAS Registry Number 12728-25-5
SMILES [C@@H]1(O)[C@H](O)[C@@H](O)[C@@H](O[C@@H]1OC\2C(O)CC(O)CC(O)CC(O)C(C(O)C(C(O)CC(O)CC(O)\C=C/CC(OC(=O)C(=C\CCC(C(O)C(C(O)CC\C=C/C(C(O)\C=C/C(C(O)C(=C2)\C)C)C)C)C)/C)C(C(O)CCCN)C)C)C)CO
InChI 1S/C61H109NO21/c1-32-15-10-11-19-47(70)38(7)55(75)33(2)16-12-17-35(4)60(80)81-51(37(6)46(69)20-14-24-62)21-13-18-41(64)26-42(65)28-48(71)39(8)56(76)40(9)49(72)29-43(66)27-44(67)30-50(73)52(25-36(5)54(74)34(3)22-23-45(32)68)82-61-59(79)58(78)57(77)53(31-63)83-61/h10,13,15,17-18,22-23,25,32-34,37-59,61,63-79H,11-12,14,16,19-21,24,26-31,62H2,1-9H3/b15-10-,18-13-,23-22-,35-17-,36-25-/t32?,33?,34?,37?,38?,39?,40?,41?,42?,43?,44?,45?,46?,47?,48?,49?,50?,51?,52?,53-,54?,55?,56?,57-,58+,59+,61-/m0/s1
InChIKey FKPDQSQJNFFSAS-NDSXEJDXSA-N
Properties
Density 1.283g/cm3 (Cal.)
Boiling point 1269.605°C at 760 mmHg (Cal.)
Flash point 721.631°C (Cal.)
Market Analysis Reports
List of Reports Available for Desertomycin
Related Products
7-Nitro-3,4-Dihydro-2H-1-Benzoxepin-5-On...  1,3-Bis(Trimethylsilyl)Urea  (1-(2-Mercapto)propionic acid)-8-lysine-...  7-(3-Aminopiperidin-1-Yl)-1-Cyclopropyl-...  5-Amino-7-(3-Aminopiperidin-1-Yl)-1-Cycl...  Pseudoaconitine  [7-(2-Methylbut-2-Enoyloxy)-4-Oxido-5,6,...  Linarotene  O-((-((N-(Phenylmethoxycarbonyl)Alanyl)A...  2-(Mannopyranosidyl)Ethyl 3'-Azido-3'-De...  Azetidine-2,4-Dicarboxylic Acid  5-Endo-(Ethoxycarbonyl)Endothall Anhydri...  5-endo-Carboxyendothall anhydride  (1S,2S,3R,4R,6S)-6-(Cyanomethyl)-7-Oxabi...  2'-Demethoxy-2'-Methyldehydrogriseofulvi...