Online Database of Chemicals from Around the World

烯霉素
[CAS# 12710-02-0]

供应商
CAS#: 12710-02-0
产品: 烯霉素
暂时没有厂家供应该产品。
基本信息
产品名称 烯霉素
英文名 Lienomycin
别名 44-[(1E,4R,5E,8R)-11-Amino-4,8-Dihydroxy-Undeca-1,5-Dienyl]-23-But-3-Enyl-16,18,30,32,34,38,40,42-Octahydroxy-15,17,27-Trimethyl-26-[(2R,3R,4R,5R,6S)-3,4,5-Trihydroxy-6-Methyl-Tetrahydropyran-2-Yl]Oxy-1-Oxacyclotetratetraconta-5,7,9,11,13,19,23,35-Octaene-2,28-Dione; 44-[(1E,4R,5E,8R)-11-Amino-4,8-Dihydroxyundeca-1,5-Dienyl]-23-But-3-Enyl-16,18,30,32,34,38,40,42-Octahydroxy-15,17,27-Trimethyl-26-[[(2R,3R,4R,5R,6S)-3,4,5-Trihydroxy-6-Methyl-2-Tetrahydropyranyl]Oxy]-1-Oxacyclotetratetraconta-5,7,9,11,13,19,23,35-Octaene-2,28-Dione; 44-[(1E,4R,5E,8R)-11-Amino-4,8-Dihydroxy-Undeca-1,5-Dienyl]-23-But-3-Enyl-16,18,30,32,34,38,40,42-Octahydroxy-15,17,27-Trimethyl-26-[(2R,3R,4R,5R,6S)-3,4,5-Trihydroxy-6-Methyl-Tetrahydropyran-2-Yl]Oxy-1-Oxacyclotetratetraconta-5,7,9,11,13,19,23,35-Octaene-2,28-Quinone
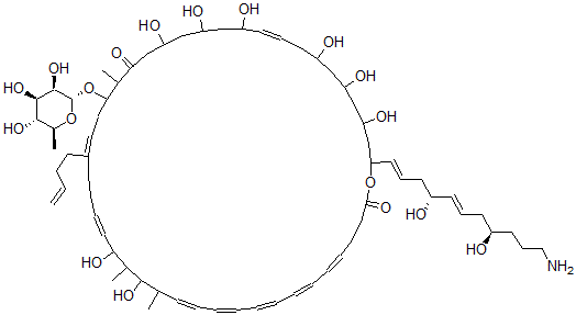
分子结构 CAS 登录号:12710-02-0, 烯霉素
分子式 C67H107NO18
分子量 1214.58
CAS 登录号 12710-02-0
分子行输入简码 SMILES [C@H]1(O[C@H]([C@H](O)[C@@H](O)[C@H]1O)C)OC2C(C(=O)CC(O)CC(O)CC(O)\C=C/CC(O)CC(O)CC(O)CC(OC(=O)CC\C=C/C=C\C=C/C=C\C=C/C(C(O)C(C(O)\C=C/CCC(=C/C2)\CCC=C)C)C)\C=C\C[C@@H](O)\C=C\C[C@H](O)CCCN)C
国际化学标识码 InChI 1S/C67H107NO18/c1-6-7-25-49-26-18-19-34-59(77)47(4)63(80)45(2)24-16-14-12-10-8-9-11-13-15-17-35-62(79)85-58(33-22-29-50(69)27-20-28-51(70)32-23-38-68)43-56(75)41-54(73)39-52(71)30-21-31-53(72)40-55(74)42-57(76)44-60(78)46(3)61(37-36-49)86-67-66(83)65(82)64(81)48(5)84-67/h6,8-16,19-22,24,27,31,33-34,36,45-48,50-59,61,63-67,69-77,80-83H,1,7,17-18,23,25-26,28-30,32,35,37-44,68H2,2-5H3/b10-8-,11-9-,14-12-,15-13-,24-16-,27-20+,31-21-,33-22+,34-19-,49-36-/t45?,46?,47?,48-,50-,51-,52?,53?,54?,55?,56?,57?,58?,59?,61?,63?,64-,65+,66+,67-/m0/s1
国际化学标识检索码 InChIKey YUGKVAOWNQMSPU-VJQRYWHOSA-N
市场分析报告
请浏览烯霉素市场分析报告总目录
相关产品
(2S)-2-[[(2S)-2-[[(2S)-2-...  (2S)-2-[[4-[(2,4-二氨基蝶啶-6-...  2,2-二(氯甲基)-1,3-丙烷二醇硫酸盐  心脏兴奋肽 1  2-(1,2,3,6-四氢-1,3-二甲基-2,6...  2-[2-[(1R,2S,3aR,7aR)-2-羟...  (5E,9E,14E)-11-[(2R)-2-[[...  3-[(1Z,3Z,5Z,7Z)-癸-1,3,5,...  环戊二烯钛  (2S)-2-[[(2S)-2-[[(2S)-2-...  (2S)-3-甲基-2-[[(2S)-2-[[(2...  (2S)-2-[[4-[(2,4-二氨基蝶啶-6-...  (5S)-3-甲基-5-戊基-4,5-二氢呋喃并[...  1-(2-氯苯基)-3-[(1-吡啶-2-基乙亚基...  乙基5-(苯甲酰基氨基)-6-氧代-2-苯基吡喃-...