Online Database of Chemicals from Around the World

硫肽菌素
[CAS# 12609-84-6]

供应商
CAS#: 12609-84-6
产品: 硫肽菌素
暂时没有厂家供应该产品。
基本信息
产品名称 硫肽菌素
英文名 Thiopeptin
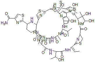
分子结构 CAS 登录号:12609-84-6, 硫肽菌素
分子式 C65H79N17O15S6
分子量 1530.80
CAS 登录号 12609-84-6
分子行输入简码 SMILES N1=C4SC=C1C(=O)NC(C(=O)N\C(C%10=NC(C(=O)NC(C2=NC(=CS2)C(=S)NC7C3=NC(=CS3)C5NC(CCC45NC(=O)C(NC(=O)C(NC(=O)C(NC(=O)C(NC8C(O)C6=C(C(=CC(=N6)C(OC7C)=O)C(O)C)C=C8)C(C)C)C)=C)C)C9=NC(=CS9)C(=O)N)C(O)(C(O)C)C)CS%10)=C\C)C(O)C
国际化学标识码 InChI 1S/C65H79N17O15S6/c1-12-33-58-76-39(20-100-58)54(92)81-48(64(11,96)30(10)85)61-77-41(22-102-61)57(98)80-44-29(9)97-62(95)36-17-32(27(7)83)31-13-14-34(46(86)45(31)71-36)70-42(23(2)3)55(93)69-25(5)51(89)67-24(4)50(88)68-26(6)52(90)82-65(63-78-40(21-103-63)53(91)79-43(28(8)84)56(94)73-33)16-15-35(59-75-38(19-99-59)49(66)87)72-47(65)37-18-101-60(44)74-37/h12-14,17-19,21-23,25-30,34-35,39,42-44,46-48,70,72,83-86,96H,4,15-16,20H2,1-3,5-11H3,(H2,66,87)(H,67,89)(H,68,88)(H,69,93)(H,73,94)(H,79,91)(H,80,98)(H,81,92)(H,82,90)/b33-12+
国际化学标识检索码 InChIKey SRTDKHGZQCTGBY-RVDKCFQWSA-N
物理化学性质
密度 1.68g/cm3 (计算值)
市场分析报告
请浏览硫肽菌素市场分析报告总目录
相关产品
3-[(4-甲氧基-6-甲基-1,3,5-三嗪-2...  3,6,7,7a-四氢-1H-吡咯并[1,5-a]...  乙基2,5-二氧代-1,3,6,7-四氢吡咯并[1...  2,5-二氧代-1,3,6,7-四氢吡咯并[1,2...  异米尼尔柠檬酸盐  6-(4-乙基苯基)吡咯并[3,4-b]吡啶-5,...  4-氨基-5-氯-N-[2-(环丙基-乙基氨基)乙...  [(3S,5S,10S,13S,17S)-17-(...  1-甲基-1-苯基-1,2,3,4-四氢异喹啉  2,2-二氟-苯并[1,3]二氧杂环戊烯-4-硼酸  铝酸钙铁酸盐  乌达霉素H  2-苄基-5-氰基-4-氧代戊酸  氯化铅  阿尼利定盐酸盐 CII