Online Database of Chemicals from Around the World

Synthetic amino-terminal parathyroid hormone
[CAS# 12583-68-5]

Suppliers
BOC Sciences USA Inquire  
+1 (631) 485-4226
info@bocsci.com
Skype Chat
Chemical distributor
chemBlink massive supplier since 2012
Creative Peptides USA Inquire  
+1 (631) 624-4882
info@creative-peptides.com
Chemical manufacturer
chemBlink massive supplier since 2016
International Laboratory Limited USA Inquire  
+1 (650) 278-9963
admin@intlab.org
Chemical manufacturer since 2002
Identification
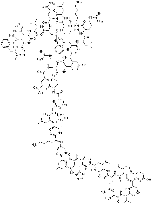
Name Synthetic amino-terminal parathyroid hormone
Synonyms Bpth (1-34); L-Phenylalanine, L-Alanyl-L-Valyl-L-Seryl-L-Alpha-Glutamyl-L-Isoleucyl-L-Glutaminyl-L-Phenylalanyl-L-Methionyl-L-Histidyl-L-Asparaginyl-L-Leucylglycyl-L-Lysyl-L-Histidyl-L-Leucyl-L-Seryl-L-Seryl-L-Methionyl-L-Alpha-Glutamyl-L-Arginyl-L-Valyl-L-Alpha-Glutamyl-L-Tryptophyl-L-Leucyl-L-Arginyl-L-Lysyl-L-Lysyl-L-Leucyl-L-Glutaminyl-L-Alpha-Aspartyl-L-Valyl-L-Histidyl-L-Asparaginyl-; Synthetic Amino-Terminal Parathyroid Hormone
Molecular Structure CAS#: 12583-68-5, Synthetic amino-terminal parathyroid hormone
Molecular Formula C174H278N54O49S2
Molecular Weight 3974.56
CAS Registry Number 12583-68-5
SMILES [C@H](NC(=O)[C@@H](NC(=O)[C@@H](NC(=O)[C@@H](NC(=O)[C@@H](NC(=O)[C@@H](NC(=O)[C@@H](NC(=O)CNC(=O)[C@@H](NC(=O)[C@@H](NC(=O)[C@@H](NC(=O)CNC(=O)[C@@H](NC(=O)[C@@H](NC(=O)[C@@H](NC(=O)[C@@H](NC(=O)CNC(=O)[C@@H](NC(=O)[C@@H](NC(=O)[C@@H](NC(=O)[C@@H](NC(=O)[C@@H](NC(=O)CN)C(C)C)CO)CCC(=O)O)[C@H](CC)C)CCC(=O)N)CCSC)CC1=CN=C[NH]1)CC(=O)N)CC(C)C)CCCCN)CC2=CN=C[NH]2)CC(C)C)CO)CCSC)CCC(=O)O)CCCNC(=N)N)C(C)C)CCC(=O)O)(CC3=C[NH]C4=C3C=CC=C4)C(=O)N[C@H](C(=O)N[C@H](C(=O)N[C@H](C(=O)N[C@H](C(=O)N[C@H](C(=O)N[C@H](C(=O)N[C@H](C(=O)N[C@H](C(=O)N[C@H](C(=O)N[C@H](C(=O)N[C@H](C(=O)O)CC5=CC=CC=C5)CC(=O)N)CC6=CN=C[NH]6)C(C)C)CC(=O)O)CCC(=O)N)CC(C)C)CCCCN)CCCCN)CCCNC(=N)N)CC(C)C
InChI 1S/C174H278N54O49S2/c1-19-93(16)142(228-156(260)110(46-51-137(243)244)208-167(271)126(82-230)224-168(272)139(90(10)11)225-131(235)73-178)171(275)210-106(42-47-127(179)231)143(247)193-78-133(237)200-111(52-59-278-17)153(257)218-119(68-97-76-188-84-197-97)161(265)219-121(70-129(181)233)163(267)213-114(62-87(4)5)145(249)194-79-132(236)199-101(37-25-28-54-175)146(250)217-118(67-96-75-187-83-196-96)160(264)212-113(61-86(2)3)144(248)195-80-134(238)201-125(81-229)166(270)209-112(53-60-279-18)154(258)206-108(44-49-135(239)240)150(254)204-105(41-32-58-191-174(185)186)155(259)226-140(91(12)13)169(273)211-109(45-50-136(241)242)152(256)216-117(66-95-74-192-100-36-24-23-35-99(95)100)159(263)215-116(64-89(8)9)157(261)205-104(40-31-57-190-173(183)184)148(252)202-102(38-26-29-55-176)147(251)203-103(39-27-30-56-177)149(253)214-115(63-88(6)7)158(262)207-107(43-48-128(180)232)151(255)221-123(72-138(245)246)165(269)227-141(92(14)15)170(274)222-120(69-98-77-189-85-198-98)162(266)220-122(71-130(182)234)164(268)223-124(172(276)277)65-94-33-21-20-22-34-94/h20-24,33-36,74-77,83-93,101-126,139-142,192,229-230H,19,25-32,37-73,78-82,175-178H2,1-18H3,(H2,179,231)(H2,180,232)(H2,181,233)(H2,182,234)(H,187,196)(H,188,197)(H,189,198)(H,193,247)(H,194,249)(H,195,248)(H,199,236)(H,200,237)(H,201,238)(H,202,252)(H,203,251)(H,204,254)(H,205,261)(H,206,258)(H,207,262)(H,208,271)(H,209,270)(H,210,275)(H,211,273)(H,212,264)(H,213,267)(H,214,253)(H,215,263)(H,216,256)(H,217,250)(H,218,257)(H,219,265)(H,220,266)(H,221,255)(H,222,274)(H,223,268)(H,224,272)(H,225,235)(H,226,259)(H,227,269)(H,228,260)(H,239,240)(H,241,242)(H,243,244)(H,245,246)(H,276,277)(H4,183,184,190)(H4,185,186,191)/t93-,101-,102-,103-,104-,105-,106-,107-,108-,109-,110-,111-,112-,113-,114-,115-,116-,117-,118-,119-,120-,121-,122-,123-,124-,125-,126-,139-,140-,141-,142-/m0/s1
InChIKey BHCZZGBILISWFT-KANWXXSKSA-N
Protein Sequence H-Ala-Val-Ser-Glu-Ile-Gln-Phe-Met-His-Asn-Leu-Gly-Lys-His-Leu-Ser-Ser-Met-Glu-Arg-Val-Glu-Trp-Leu-Arg-Lys-Lys-Leu-Gln-Asp-Val-His-Asn-Phe-OH
Safety Data
SDS Available
Market Analysis Reports
List of Reports Available for Synthetic amino-terminal parathyroid hormone
Related Products
2-[(2,2-Dimethyl-1-Oxopropyl)Amino]-3-Py...  2,5-Dibromostyrene  Strontium Titaniumoxide (Srtio3)  Trisilver  (2R,2'R)-3,3'-Dithiobis[2-Amino-N-2-Naph...  Sulfur, Ion (S31-)  (2S)-2-Amino-4-[[(1R)-2-(Ethylcarbamoyls...  6-[2-(Methylamino)Ethoxy]-Dibenzo[b,f]Th...  2-bromo-1,1-dimethylethyl 2-bromoethyl 2...  3-beta-Hydroxy-17-beta-(N-methyl-N-(2-cy...  Aceglutamide Aluminum  6-Chloro-2-(4-Chlorophenyl)-4-Quinolinec...  3'-(Trifluoromethyl)-[1,1'-Biphenyl]-3-C...  6-(2-Deoxy-beta-D-Erythro-Pentofuranosyl...  Saccharose acetate isobutyrate