Online Database of Chemicals from Around the World

1-(2-甲基-2-丙基)-3,3-二硝基吖丁啶
[CAS# 125735-38-8]

供应商
CAS#: 125735-38-8
产品: 1-(2-甲基-2-丙基)-3,3-二硝基吖丁啶
暂时没有厂家供应该产品。
基本信息
产品名称 1-(2-甲基-2-丙基)-3,3-二硝基吖丁啶
英文名 1-(2-Methyl-2-Propanyl)-3,3-Dinitroazetidine
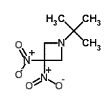
分子结构 CAS 登录号:125735-38-8, 1-(2-甲基-2-丙基)-3,3-二硝基吖丁啶
分子式 C7H13N3O4
分子量 203.20
CAS 登录号 125735-38-8
分子行输入简码 SMILES O=[N+]([O-])C1([N+]([O-])=O)CN(C(C)(C)C)C1
国际化学标识码 InChI 1S/C7H13N3O4/c1-6(2,3)8-4-7(5-8,9(11)12)10(13)14/h4-5H2,1-3H3
国际化学标识检索码 InChIKey YNVDAIOEJHCEQA-UHFFFAOYSA-N
物理化学性质
密度 1.286g/cm3 (计算值)
沸点 302.077°C at 760 mmHg (计算值)
闪点 136.492°C (计算值)
折射率 1.524 (计算值)
市场分析报告
请浏览1-(2-甲基-2-丙基)-3,3-二硝基吖丁啶市场分析报告总目录
相关产品
2H-[1,3]噻唑并[4,5-h][1,4]苯并...  7,8-二氢-6H-[1,3]噻唑并[4,5-g]...  2H-[1,3]噻唑并[5,4-h][1]苯并氮杂...  1H-吡咯并[3,2,1-Ij][1,3]噻唑并[...  1-(4-乙基苄基)-4-甲基哌嗪  2-乙基-3,4-吡啶二醇  3-乙酰基-5-氟-6-羟基-2(1H)-吡啶酮  乙基2,4-二氯-1,3-噻唑-5-羧酸酯  1H-嘧啶并[4,5-c][1,2]恶嗪  3-(2-吡啶基氧基)-1-丙胺  1,2-亚苯基二(亚甲基)二(二异丁基二硫代氨基甲...  4-(2-甲基-2-丙基)苯甲脒  1,1,1-三氟-3-(3-噻吩基)丙酮  3-氯-1,1-二乙氧基-2-丙醇  6-异丙基-3-甲基-1H-吡嗪-2-酮