基本信息
| 产品名称 |
1-beta-阿拉伯呋喃糖基胞嘧啶 5'-二磷酸酯-1-十八烷基-2-O-棕榈酰-1-硫代甘油二钠盐 |
| 英文名 |
1-beta-Arabinofuranosylcytosine 5'-diphosphate-1-octadecyl-2-O-palmitoyl-1-thioglycerol disodium salt |
| 别名 |
Disodium [(2R,3S,4S,5R)-5-(4-Amino-2-Oxo-Pyrimidin-1-Yl)-3,4-Dihydroxy-Tetrahydrofuran-2-Yl]Methoxy-[(2-Hexadecanoyloxy-3-Octadecylsulfanyl-Propoxy)-Hydroxy-Oxido-Phosphaniumyl]Oxy-Phosphinic Acid; Disodium [(2R,3S,4S,5R)-5-(4-Amino-2-Oxo-1-Pyrimidinyl)-3,4-Dihydroxy-2-Tetrahydrofuranyl]Methoxy-[Hydroxy-[3-(Octadecylthio)-2-(1-Oxohexadecoxy)Propoxy]-Oxidophosphaniumyl]Oxyphosphinic Acid; Disodium [(2R,3S,4S,5R)-5-(4-Amino-2-Keto-Pyrimidin-1-Yl)-3,4-Dihydroxy-Tetrahydrofuran-2-Yl]Methoxy-[[2-Hexadecanoyloxy-3-(Stearylthio)Propoxy]-Hydroxy-Oxido-Phosphaniumyl]Oxy-Phosphinic Acid |
|
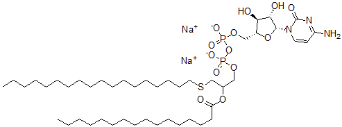
| 分子结构 |
 |
| 分子式 |
C46H87N3Na2O13P2S |
| 分子量 |
1030.19 |
| CAS 登录号 |
125592-28-1 |
| 分子行输入简码 SMILES |
[C@H]1(O[C@@H]([C@@H](O)[C@@H]1O)CO[P](O[P](OCC(OC(=O)CCCCCCCCCCCCCCC)CSCCCCCCCCCCCCCCCCCC)(=O)O)(=O)O)N2C(=O)N=C(N)C=C2.[Na+].[Na+] |
| 国际化学标识码 InChI |
1S/C46H87N3O13P2S.2Na/c1-3-5-7-9-11-13-15-17-18-19-21-23-25-27-29-31-35-65-38-39(60-42(50)32-30-28-26-24-22-20-16-14-12-10-8-6-4-2)36-58-63(54,55)62-64(56,57)59-37-40-43(51)44(52)45(61-40)49-34-33-41(47)48-46(49)53;;/h33-34,39-40,43-45,51-52H,3-32,35-38H2,1-2H3,(H,54,55)(H,56,57)(H2,47,48,53);;/q;2*+1/t39?,40-,43-,44+,45-;;/m1../s1 |
| 国际化学标识检索码 InChIKey |
IOJAKVFOYVOQAC-YOCDIIJISA-N |
|