Online Database of Chemicals from Around the World

羽叶三七甙F1
[CAS# 125409-60-1]

供应商
CAS#: 125409-60-1
产品: 羽叶三七甙F1
暂时没有厂家供应该产品。
基本信息
产品名称 羽叶三七甙F1
英文名 Bipinnatifidusoside F1
别名 (2S,3R,4S,5S,6R)-2-[(1S)-1-[(10R,12S,13S,14R,17S)-3-[(2R,3R,4S,5S,6R)-4,5-Dihydroxy-6-(Hydroxymethyl)-3-[(2S,3R,4S,5S,6R)-3,4,5-Trihydroxy-6-(Hydroxymethyl)Tetrahydropyran-2-Yl]Oxy-Tetrahydropyran-2-Yl]Oxy-12-Hydroxy-4,4,10,14-Tetramethyl-1,2,3,5,6,7,8,9,11,12,13,15,16,17-Tetradecahydrocyclopenta[A]Phenanthren-17-Yl]-4-Hydroxy-1,5-Dimethyl-Hex-5-Enoxy]-6-(Hydroxymethyl)Tetrahydropyran-3,4,5-Triol; (2S,3R,4S,5S,6R)-2-[(1S)-1-[(10R,12S,13S,14R,17S)-3-[[(2R,3R,4S,5S,6R)-4,5-Dihydroxy-6-(Hydroxymethyl)-3-[[(2S,3R,4S,5S,6R)-3,4,5-Trihydroxy-6-(Hydroxymethyl)-2-Tetrahydropyranyl]Oxy]-2-Tetrahydropyranyl]Oxy]-12-Hydroxy-4,4,10,14-Tetramethyl-1,2,3,5,6,7,8,9,11,12,13,15,16,17-Tetradecahydrocyclopenta[A]Phenanthren-17-Yl]-4-Hydroxy-1,5-Dimethylhex-5-Enoxy]-6-(Hydroxymethyl)Tetrahydropyran-3,4,5-Triol; (2S,3R,4S,5S,6R)-2-[(1S)-1-[(10R,12S,13S,14R,17S)-3-[(2R,3R,4S,5S,6R)-4,5-Dihydroxy-6-Methylol-3-[(2S,3R,4S,5S,6R)-3,4,5-Trihydroxy-6-Methylol-Tetrahydropyran-2-Yl]Oxy-Tetrahydropyran-2-Yl]Oxy-12-Hydroxy-4,4,10,14-Tetramethyl-1,2,3,5,6,7,8,9,11,12,13,15,16,17-Tetradecahydrocyclopenta[A]Phenanthren-17-Yl]-4-Hydroxy-1,5-Dimethyl-Hex-5-Enoxy]-6-Methylol-Tetrahydropyran-3,4,5-Triol
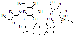
分子结构 CAS 登录号:125409-60-1, 羽叶三七甙F1
分子式 C47H80O19
分子量 949.14
CAS 登录号 125409-60-1
分子行输入简码 SMILES [C@H]56[C@@](C4C([C@@]3(C(C(C(O[C@@H]1O[C@@H]([C@@H](O)[C@H](O)[C@H]1O[C@@H]2O[C@@H]([C@@H](O)[C@H](O)[C@H]2O)CO)CO)CC3)(C)C)CC4)C)C[C@@H]5O)(CC[C@@H]6[C@@](O[C@@H]7O[C@@H]([C@@H](O)[C@H](O)[C@H]7O)CO)(CCC(O)C(=C)C)C)C
国际化学标识码 InChI 1S/C47H80O19/c1-20(2)24(51)11-15-47(7,66-42-39(60)36(57)33(54)27(18-49)62-42)22-10-13-46(6)21-8-9-29-44(3,4)30(12-14-45(29,5)23(21)16-25(52)31(22)46)64-43-40(37(58)34(55)28(19-50)63-43)65-41-38(59)35(56)32(53)26(17-48)61-41/h21-43,48-60H,1,8-19H2,2-7H3/t21?,22-,23?,24?,25-,26+,27+,28+,29?,30?,31+,32+,33+,34+,35-,36-,37-,38+,39+,40+,41-,42-,43-,45+,46+,47-/m0/s1
国际化学标识检索码 InChIKey UYZKHXYACWTLFG-VPURUKEUSA-N
物理化学性质
密度 1.417g/cm3 (计算值)
沸点 1056.146°C at 760 mmHg (计算值)
闪点 592.535°C (计算值)
市场分析报告
请浏览羽叶三七甙F1市场分析报告总目录
相关产品
(1R,2S,3R)-3-(6-氨基嘌呤-9-基)...  (2R,3R,4S,5R,6R)-2-[(2R,3...  (2R)-2-(2-羟基乙基氨基)丙酸  (4R,5R,6R)-3-(5-氯-2-氧代-1,...  (7-二乙基氨基-4-甲基苯并吡喃-2-亚基)-(...  2-[(2-氨基苯基)硫代氨基甲酰氨基]乙酸  2-[(2-氨基苯基)硫代氨基甲酰氨基]-4-甲基...  1-[(2-氨基苯基)硫代氨基甲酰]吡咯烷-2-羧...  戊烯比妥  铕(III)三联吡啶穴醚  环戊丙羟勃龙  肌-肌醇六乙酸酯  5-乙基-5-(1-甲基-1-丁烯基)-2-钠氧基...  二[2-[(2-氨基-6-氧代-3H-嘌呤-9-基...  二[[5-[5-[(E)-2-溴乙烯基]-2,4-...