Online Database of Chemicals from Around the World

3-甲苯基乙酰基-辅酶A
[CAS# 124900-43-2]

供应商
CAS#: 124900-43-2
产品: 3-甲苯基乙酰基-辅酶A
暂时没有厂家供应该产品。
基本信息
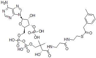
产品名称 3-甲苯基乙酰基-辅酶A
英文名 3-Tolylacetyl-coenzyme A
别名 S-[2-[3-[[(2R)-4-[[[(2R,3S,4R,5R)-5-(6-Aminopurin-9-Yl)-4-Hydroxy-3-Phosphonooxy-Tetrahydrofuran-2-Yl]Methoxy-Hydroxy-Phosphoryl]Oxy-Hydroxy-Phosphoryl]Oxy-2-Hydroxy-3,3-Dimethyl-Butanoyl]Amino]Propanoylamino]Ethyl] 2-(3-Methylphenyl)Ethanethioate; 2-(3-Methylphenyl)Ethanethioic Acid S-[2-[[3-[[(2R)-4-[[[(2R,3S,4R,5R)-5-(6-Amino-9-Purinyl)-4-Hydroxy-3-Phosphonooxy-2-Tetrahydrofuranyl]Methoxy-Hydroxyphosphoryl]Oxy-Hydroxyphosphoryl]Oxy-2-Hydroxy-3,3-Dimethyl-1-Oxobutyl]Amino]-1-Oxopropyl]Amino]Ethyl] Ester; 2-(3-Methylphenyl)Ethanethioic Acid S-[2-[3-[[(2R)-4-[[[(2R,3S,4R,5R)-5-(6-Aminopurin-9-Yl)-4-Hydroxy-3-Phosphonooxy-Tetrahydrofuran-2-Yl]Methoxy-Hydroxy-Phosphoryl]Oxy-Hydroxy-Phosphoryl]Oxy-2-Hydroxy-3,3-Dimethyl-Butanoyl]Amino]Propanoylamino]Ethyl] Ester
分子结构 CAS 登录号:124900-43-2, 3-甲苯基乙酰基-辅酶A
分子式 C30H44N7O17P3S
分子量 899.70
CAS 登录号 124900-43-2
分子行输入简码 SMILES [C@H]1(O[C@@H]([C@@H](O[P](=O)(O)O)[C@H]1O)CO[P](O[P](OCC([C@@H](O)C(=O)NCCC(=O)NCCSC(=O)CC2=CC(=CC=C2)C)(C)C)(=O)O)(=O)O)[N]3C4=C(N=C3)C(=NC=N4)N
国际化学标识码 InChI 1S/C30H44N7O17P3S/c1-17-5-4-6-18(11-17)12-21(39)58-10-9-32-20(38)7-8-33-28(42)25(41)30(2,3)14-51-57(48,49)54-56(46,47)50-13-19-24(53-55(43,44)45)23(40)29(52-19)37-16-36-22-26(31)34-15-35-27(22)37/h4-6,11,15-16,19,23-25,29,40-41H,7-10,12-14H2,1-3H3,(H,32,38)(H,33,42)(H,46,47)(H,48,49)(H2,31,34,35)(H2,43,44,45)/t19-,23-,24-,25+,29-/m1/s1
国际化学标识检索码 InChIKey NKSKBWZEZMJLSI-FUEUKBNZSA-N
物理化学性质
密度 1.768g/cm3 (计算值)
市场分析报告
请浏览3-甲苯基乙酰基-辅酶A市场分析报告总目录
相关产品
1-(羟基甲基)-7-甲氧基-6-甲基-5,8-二...  (10Z,12Z)-14-戊基-1-氧杂环十四烷并...  (7S,9S)-9-乙酰基-7-[(2R,5R,6...  28-表易变霉素钠盐  1-去氨基-7-赖氨酰-(荧光素)-8-精氨酰-催...  (1S-(1alpha,2alpha(Z),3be...  2-甲苯基乙酰基-辅酶A  4-甲苯基乙酰基-辅酶A  2,3-二甲氧基-5-碘-N-((1-(4'-氟苄...  2-二乙氧基磷酰-N-甲氧基-N-甲基乙酰胺  2-(1H-苯并咪唑-2-基氧基)乙醇  2-羟基-3-[(1S)-1-(3-羟基苯基)-3...  相思子三萜甙A  (7S,8aS,10aR)-3,7-二溴-8,8,...  (7S,8aS,10aS)-3,7-二溴-8,8,...