Online Database of Chemicals from Around the World

Propionyl erythromycin mercaptosuccinate
[CAS# 124399-51-5]

Suppliers
CAS#: 124399-51-5
Product: Propionyl erythromycin mercaptosuccinate
No suppilers available for the product.
Identification
Name Propionyl erythromycin mercaptosuccinate
Synonyms (3R,4S,5S,6R,7R,9R,11R,12R,13S,14R)-6-[(2S,3R,4S,6R)-4-Dimethylamino-3-Hydroxy-6-Methyl-Tetrahydropyran-2-Yl]Oxy-14-Ethyl-7,12,13-Trihydroxy-4-[(2R,4R,5S,6S)-5-Hydroxy-4-Methoxy-4,6-Dimethyl-Tetrahydropyran-2-Yl]Oxy-3,5,7,9,11,13-Hexamethyl-1-Oxacyclotetradecane-2,10-Dione; Propionic Acid; 2-Sulfanylbutanedioic Acid; (3R,4S,5S,6R,7R,9R,11R,12R,13S,14R)-6-[[(2S,3R,4S,6R)-4-Dimethylamino-3-Hydroxy-6-Methyl-2-Tetrahydropyranyl]Oxy]-14-Ethyl-7,12,13-Trihydroxy-4-[[(2R,4R,5S,6S)-5-Hydroxy-4-Methoxy-4,6-Dimethyl-2-Tetrahydropyranyl]Oxy]-3,5,7,9,11,13-Hexamethyl-1-Oxacyclotetradecane-2,10-Dione; 2-Mercaptobutanedioic Acid; Propionic Acid
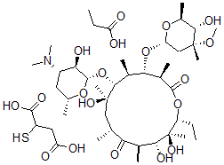
Molecular Structure CAS#: 124399-51-5, Propionyl erythromycin mercaptosuccinate
Molecular Formula C44H79NO19S
Molecular Weight 958.16
CAS Registry Number 124399-51-5
SMILES [C@@H]3(O[C@@H]1O[C@@H](C[C@H](N(C)C)[C@H]1O)C)[C@H]([C@H](O[C@@H]2O[C@H]([C@H](O)[C@](OC)(C2)C)C)[C@H](C(O[C@@H]([C@@](O)([C@H](O)[C@H](C(=O)[C@@H](C[C@]3(O)C)C)C)C)CC)=O)C)C.C(C(S)C(=O)O)C(=O)O.C(C(=O)O)C
InChI 1S/C37H67NO13.C4H6O4S.C3H6O2/c1-14-25-37(10,45)30(41)20(4)27(39)18(2)16-35(8,44)32(51-34-28(40)24(38(11)12)15-19(3)47-34)21(5)29(22(6)33(43)49-25)50-26-17-36(9,46-13)31(42)23(7)48-26;5-3(6)1-2(9)4(7)8;1-2-3(4)5/h18-26,28-32,34,40-42,44-45H,14-17H2,1-13H3;2,9H,1H2,(H,5,6)(H,7,8);2H2,1H3,(H,4,5)/t18-,19-,20+,21+,22-,23+,24+,25-,26+,28-,29+,30-,31+,32-,34+,35-,36-,37-;;/m1../s1
InChIKey BKKRRHRHFZPQSJ-INORWZNNSA-N
Properties
Boiling point 818.4°C at 760 mmHg (Cal.)
Flash point 448.8°C (Cal.)
Market Analysis Reports
List of Reports Available for Propionyl erythromycin mercaptosuccinate
Related Products
Pravastatin dihydrodiol  1,25-Dihydroxy-16-ene-vitamin D3  Sorbitan  Dynemicin A  2-Amino-3-Hydroxy-2-[3-[(E)-10-Oxohexade...  4-Tert-Butyl-6-Chloropyridazine-3-Carbon...  1-(2-Chloro-6-Methylphenyl)-3-Pyridin-4-...  2-Acetamido-2-Furan-2-Yl-N-(Phenylmethyl...  2-Acetamido-N-[(4-Fluorophenyl)Methyl]-2...  3-(5-Cyclopropyl-1,2,4-Oxadiazol-3-Yl)-5...  1-[(2R,3S,5S)-3-Fluoro-5-(Hydroxymethyl)...  1-[(2R,3S,4R,5S)-4-Azido-3-Fluoro-5-(Hyd...  Dicerium Dioxide Sulphide  Triacetyldynemicin A  8-Fluoro-4-[2-(4-Phenylphenyl)Ethoxy]Qui...