Online Database of Chemicals from Around the World

L-亮氨酰-L-赖氨酰-L-异亮氨酰-L-alpha-谷氨酰-L-alpha-天冬氨酰-L-丝氨酰-L-alpha-天冬氨酰-L-苏氨酰-L-酪氨酰-L-异亮氨酰-L-半胱氨酰-L-alpha-谷氨酰-L-缬氨酰-谷氨酰-L-alpha-天冬氨酰-L-谷氨酰胺酰-L-赖氨酰-alpha-谷氨酰-L-谷氨酸
[CAS# 123380-67-6]

供应商
CAS#: 123380-67-6
产品: L-亮氨酰-L-赖氨酰-L-异亮氨酰-L-alpha-谷氨酰-L-alpha-天冬氨酰-L-丝氨酰-L-alpha-天冬氨酰-L-苏氨酰-L-酪氨酰-L-异亮氨酰-L-半胱氨酰-L-alpha-谷氨酰-L-缬氨酰-谷氨酰-L-alpha-天冬氨酰-L-谷氨酰胺酰-L-赖氨酰-alpha-谷氨酰-L-谷氨酸
暂时没有厂家供应该产品。
基本信息
产品名称 L-亮氨酰-L-赖氨酰-L-异亮氨酰-L-alpha-谷氨酰-L-alpha-天冬氨酰-L-丝氨酰-L-alpha-天冬氨酰-L-苏氨酰-L-酪氨酰-L-异亮氨酰-L-半胱氨酰-L-alpha-谷氨酰-L-缬氨酰-谷氨酰-L-alpha-天冬氨酰-L-谷氨酰胺酰-L-赖氨酰-alpha-谷氨酰-L-谷氨酸
英文名 L-leucyl-L-lysyl-L-isoleucyl-L-alpha-glutamyl-L-alpha-aspartyl-L-seryl-L-alpha-aspartyl-L-threonyl-L-tyrosyl-L-isoleucyl-L-cysteinyl-L-alpha-glutamyl-L-valyl-glutamyl-L-alpha-aspartyl-L-glutaminyl-L-lysyl-alpha-glutamyl-L-Glutamic acid
别名 Leu-Lys-Ile-Glu-Asp-Ser-Asp-Thr-Tyr-Ile-Cys-Glu-Val-Glu-Asp-Gln-Lys-Glu-Glu (Cd4 76-94 Peptide); Cd4 (76-94); L-Glutamic Acid, L-Leucyl-L-Lysyl-L-Isoleucyl-L-Alpha-Glutamyl-L-Alpha-Aspartyl-L-Seryl-L-Alpha-Aspartyl-L-Threonyl-L-Tyrosyl-L-Isoleucyl-L-Cysteinyl-L-Alpha-Glutamyl-L-Valyl-Glutamyl-L-Alpha-Aspartyl-L-Glutaminyl-L-Lysyl-Alpha-Glutamyl-
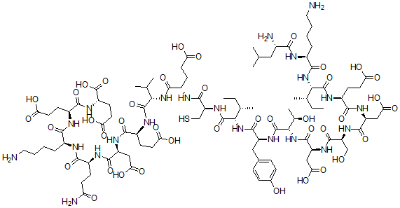
分子结构 CAS 登录号:123380-67-6, L-亮氨酰-L-赖氨酰-L-异亮氨酰-L-alpha-谷氨酰-L-alpha-天冬氨酰-L-丝氨酰-L-alpha-天冬氨酰-L-苏氨酰-L-酪氨酰-L-异亮氨酰-L-半胱氨酰-L-alpha-谷氨酰-L-缬氨酰-谷氨酰-L-alpha-天冬氨酰-L-谷氨酰胺酰-L-赖氨酰-alpha-谷氨酰-L-谷氨酸
分子式 C96H152N22O40S
分子量 2286.44
CAS 登录号 123380-67-6
分子行输入简码 SMILES [C@H](C(=O)N[C@@H](CC1=CC=C(C=C1)O)C(=O)N[C@H](C(=O)N[C@H](C(N[C@H](C(=O)N[C@H](C(N[C@H](C(N[C@H](C(=O)N[C@H](C(N[C@H](C(=O)N[C@H](C(N[C@@H](CCC(O)=O)C(=O)O)=O)CCC(O)=O)CCCCN)=O)CCC(N)=O)CC(O)=O)=O)CCC(O)=O)=O)C(C)C)CCC(O)=O)=O)CS)[C@H](CC)C)(NC([C@@H](NC([C@@H](NC([C@@H](NC([C@@H](NC([C@@H](NC([C@@H](NC([C@H](CC(C)C)N)=O)CCCCN)=O)[C@H](CC)C)=O)CCC(O)=O)=O)CC(O)=O)=O)CO)=O)CC(O)=O)=O)[C@@H](C)O
国际化学标识码 InChI 1S/C96H152N22O40S/c1-10-45(7)75(116-84(145)52(17-13-15-35-98)101-78(139)50(99)36-43(3)4)93(154)107-56(25-31-68(127)128)83(144)110-61(39-72(135)136)87(148)113-63(41-119)90(151)111-62(40-73(137)138)89(150)118-77(47(9)120)95(156)112-59(37-48-18-20-49(121)21-19-48)88(149)117-76(46(8)11-2)94(155)114-64(42-159)91(152)105-57(26-32-69(129)130)85(146)115-74(44(5)6)92(153)106-55(24-30-67(125)126)82(143)109-60(38-71(133)134)86(147)104-53(22-28-65(100)122)80(141)102-51(16-12-14-34-97)79(140)103-54(23-29-66(123)124)81(142)108-58(96(157)158)27-33-70(131)132/h18-21,43-47,50-64,74-77,119-121,159H,10-17,22-42,97-99H2,1-9H3,(H2,100,122)(H,101,139)(H,102,141)(H,103,140)(H,104,147)(H,105,152)(H,106,153)(H,107,154)(H,108,142)(H,109,143)(H,110,144)(H,111,151)(H,112,156)(H,113,148)(H,114,155)(H,115,146)(H,116,145)(H,117,149)(H,118,150)(H,123,124)(H,125,126)(H,127,128)(H,129,130)(H,131,132)(H,133,134)(H,135,136)(H,137,138)(H,157,158)/t45-,46-,47+,50-,51-,52-,53-,54-,55-,56-,57-,58-,59-,60-,61-,62-,63-,64-,74-,75-,76-,77-/m0/s1
国际化学标识检索码 InChIKey NDFQQFWSEZIVCS-BTHISMKCSA-N
市场分析报告
请浏览L-亮氨酰-L-赖氨酰-L-异亮氨酰-L-alpha-谷氨酰-L-alpha-天冬氨酰-L-丝氨酰-L-alpha-天冬氨酰-L-苏氨酰-L-酪氨酰-L-异亮氨酰-L-半胱氨酰-L-alpha-谷氨酰-L-缬氨酰-谷氨酰-L-alpha-天冬氨酰-L-谷氨酰胺酰-L-赖氨酰-alpha-谷氨酰-L-谷氨酸市场分析报告总目录
相关产品
3(2),3(2)-二氟原卟啉二甲基酯  4-[二(2-氯乙基)氨基]苯酚苯甲酸酯  二钆二氧化物硫化物  二钇二氧化物硫化物  4-(乙酰氧基甲基)-2,5-二(1,3-苯并二氧...  N-(7-氨基庚基)-4-叠氮基-2-硝基苯甲酰胺  锑(V)磷酸盐  (1R,4S,5S,8R)-8-[(Z)-2-[2...  6-[二(2-氯乙基)氨基]-1,2,3,4-四氢...  N-[1-[(2R,5S)-5-(羟基甲基)-2,...  (8R)-8-乙基-2,3,8-三甲基苯并吡喃-4...  1,3-二(3-硝基苯基)脲  7-氯-1-(2,3-二氢-1-苯并呋喃-7-基)...  4-甲基-6-[3-(6-甲基-2-吗啉-4-基嘧...  乙卡脲