Online Database of Chemicals from Around the World

[(2R,3S,4R,5R)-5-[4-(6-氨基己基氨基)-2-氧代嘧啶-1-基]-3,4-二羟基四氢呋喃-2-基]甲基(羟基-膦酰氧基磷酰)磷酸氢酯
[CAS# 123354-89-2]

供应商
CAS#: 123354-89-2
产品: [(2R,3S,4R,5R)-5-[4-(6-氨基己基氨基)-2-氧代嘧啶-1-基]-3,4-二羟基四氢呋喃-2-基]甲基(羟基-膦酰氧基磷酰)磷酸氢酯
暂时没有厂家供应该产品。
基本信息
产品名称 [(2R,3S,4R,5R)-5-[4-(6-氨基己基氨基)-2-氧代嘧啶-1-基]-3,4-二羟基四氢呋喃-2-基]甲基(羟基-膦酰氧基磷酰)磷酸氢酯
英文名 [(2R,3S,4R,5R)-5-[4-(6-Aminohexylamino)-2-Oxopyrimidin-1-Yl]-3,4-Dihydroxyoxolan-2-Yl]Methyl (Hydroxy-Phosphonooxyphosphoryl) Hydrogen Phosphate
别名 [(2R,3S,4R,5R)-5-[4-(6-Aminohexylamino)-2-Oxo-Pyrimidin-1-Yl]-3,4-Dihydroxy-Tetrahydrofuran-2-Yl]Methyl (Hydroxy-Phosphonooxy-Phosphoryl) Hydrogen Phosphate; [(2R,3S,4R,5R)-5-[4-(6-Aminohexylamino)-2-Oxo-1-Pyrimidinyl]-3,4-Dihydroxy-2-Tetrahydrofuranyl]Methyl (Hydroxy-Phosphonooxyphosphoryl) Hydrogen Phosphate; [(2R,3S,4R,5R)-5-[4-(6-Aminohexylamino)-2-Keto-Pyrimidin-1-Yl]-3,4-Dihydroxy-Tetrahydrofuran-2-Yl]Methyl (Hydroxy-Phosphonooxy-Phosphoryl) Hydrogen Phosphate
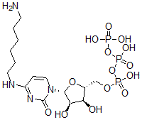
分子结构 CAS 登录号:123354-89-2, [(2R,3S,4R,5R)-5-[4-(6-氨基己基氨基)-2-氧代嘧啶-1-基]-3,4-二羟基四氢呋喃-2-基]甲基(羟基-膦酰氧基磷酰)磷酸氢酯
分子式 C15H29N4O14P3
分子量 582.33
CAS 登录号 123354-89-2
分子行输入简码 SMILES [C@H]1(O[C@@H]([C@@H](O)[C@H]1O)CO[P](O[P](O[P](=O)(O)O)(=O)O)(=O)O)N2C(=O)N=C(NCCCCCCN)C=C2
国际化学标识码 InChI 1S/C15H29N4O14P3/c16-6-3-1-2-4-7-17-11-5-8-19(15(22)18-11)14-13(21)12(20)10(31-14)9-30-35(26,27)33-36(28,29)32-34(23,24)25/h5,8,10,12-14,20-21H,1-4,6-7,9,16H2,(H,26,27)(H,28,29)(H,17,18,22)(H2,23,24,25)/t10-,12-,13-,14-/m1/s1
国际化学标识检索码 InChIKey NJPVHOPQAANYKF-FMKGYKFTSA-N
市场分析报告
请浏览[(2R,3S,4R,5R)-5-[4-(6-氨基己基氨基)-2-氧代嘧啶-1-基]-3,4-二羟基四氢呋喃-2-基]甲基(羟基-膦酰氧基磷酰)磷酸氢酯市场分析报告总目录
相关产品
(6E)-6-[(2-吡啶-2-基肼基)亚甲基]环...  (2S)-2-[[(2S)-2-[[(2S)-2-...  苯氧基磺酰基7-甲基辛酸酯  2-(丙-2-基氨基)乙基4-乙氧基苯甲酸酯  Trisdine  Vamp Regimen  18-去甲-3-氧代阿非迪霉素  2-([(4-甲基苯基)磺酰基]氨基)-2-苯乙酸...  5,7-二溴-9-甲基吡啶并[3,4-b]吲哚-6...  丙-2-烯基 8-(3-辛基环氧乙烷-2-基)辛酸...  (2R,3S,4R,5R)-2-(羟基甲基)-5-...  地阿巴隆  9-[(2R,3R,4S,5R)-3,4-二羟基-...  4,4'-羰基二(苯甲酸甲基)酯  (8S,9S,10R,13R,14S,17S)-1...