Online Database of Chemicals from Around the World

1-去氨基-(8-赖氨酸(N(6)-四甲基]玫瑰基氨基硫代羰基))加压素
[CAS# 123298-17-9]

供应商
CAS#: 123298-17-9
产品: 1-去氨基-(8-赖氨酸(N(6)-四甲基]玫瑰基氨基硫代羰基))加压素
暂时没有厂家供应该产品。
基本信息
产品名称 1-去氨基-(8-赖氨酸(N(6)-四甲基]玫瑰基氨基硫代羰基))加压素
英文名 1-Deamino-(8-Lysine(N(6)-Tetramethylrhodamylaminothiocarbonyl))Vasopressin
别名 Tr-Lvp; Vasopressin, 1-Deamino-(8-Lysine(N(6)-Tetramethylrhodamylaminothiocarbonyl))-
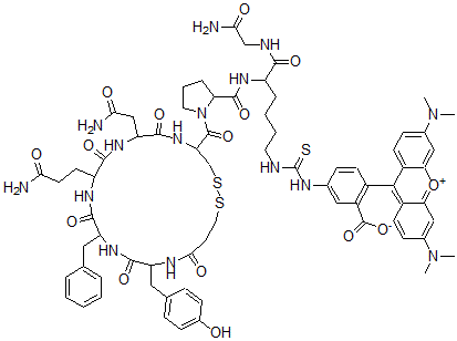
分子结构 CAS 登录号:123298-17-9, 1-去氨基-(8-赖氨酸(N(6)-四甲基]玫瑰基氨基硫代羰基))加压素
分子式 C71H85N15O15S3
分子量 1484.72
CAS 登录号 123298-17-9
分子行输入简码 SMILES [O+]6=C8C(=C(C5=C(C=C(NC(=S)NCCCCC(NC(C1N(CCC1)C(=O)C3NC(C(CC(N)=O)NC(C(CCC(N)=O)NC(C(NC(C(CC2=CC=C(C=C2)O)NC(CCSSC3)=O)=O)CC4=CC=CC=C4)=O)=O)=O)=O)C(NCC(N)=O)=O)C=C5)C([O-])=O)C7=CC=C(C=C67)N(C)C)C=CC(=C8)N(C)C
国际化学标识码 InChI 1S/C71H85N15O15S3/c1-84(2)42-18-23-46-56(34-42)101-57-35-43(85(3)4)19-24-47(57)62(46)45-22-17-41(33-48(45)70(99)100)77-71(102)75-28-9-8-13-49(63(92)76-37-60(74)90)80-68(97)55-14-10-29-86(55)69(98)54-38-104-103-30-27-61(91)78-51(32-40-15-20-44(87)21-16-40)65(94)81-52(31-39-11-6-5-7-12-39)66(95)79-50(25-26-58(72)88)64(93)82-53(36-59(73)89)67(96)83-54/h5-7,11-12,15-24,33-35,49-55H,8-10,13-14,25-32,36-38H2,1-4H3,(H16-,72,73,74,75,76,77,78,79,80,81,82,83,87,88,89,90,91,92,93,94,95,96,97,99,100,102)
国际化学标识检索码 InChIKey CPFMSSKPEGMFOD-UHFFFAOYSA-N
市场分析报告
请浏览1-去氨基-(8-赖氨酸(N(6)-四甲基]玫瑰基氨基硫代羰基))加压素市场分析报告总目录
相关产品
(2S)-2-[(2,6-二甲基苯基)-甲氧基氨基...  (17alpha)-17-羟基-26-(碘-125...  15-[(4-羟基苯基)甲基]-18-[(1Z,3...  2-(苯并三唑-2-基)-4-(2,4,4-三甲基...  (4S)-4-(2-甲基丙基氨基)-7,7-二氧代...  二甲基-二(十八烷基)铵硫酸氢盐  2-叠氮基-4-羟基-3,5-二碘苯甲腈  2-[4,7,10-三(羧甲基)-2-[(4-硝基...  钾四过氧铬酸盐  P,P'-亚辛基双酚  (Z)-1-[4-(二(羧甲基)氨基)-3-[2-...  2,6-二氨基-7,9-二氢嘌呤-8-酮  2,4-二氨基苯甲醚硫酸盐水合物  柯楠碱盐酸盐水合物  2,3,4,5-四溴-6-[(4-羟基苯基)-(4...