Online Database of Chemicals from Around the World

降钙素(猪)
[CAS# 12321-44-7]

供应商
BOC Sciences 美国 询价快递  
+1 (631) 485-4226
info@bocsci.com
Skype 聊天
化学品供销商
chemBlink 集群供应商(2012 年起)
International Laboratory Limited 美国 询价快递  
+1 (650) 278-9963
admin@intlab.org
化学品生产商(2002 年起)
基本信息
产品分类 生物化工 >> 多肽
产品名称 降钙素(猪)
英文名 Calcitonin (Swine)
别名 Calcitonin, Porcine, For Bioassay; Calcitonin,Porcine; Calcitonine De Porc
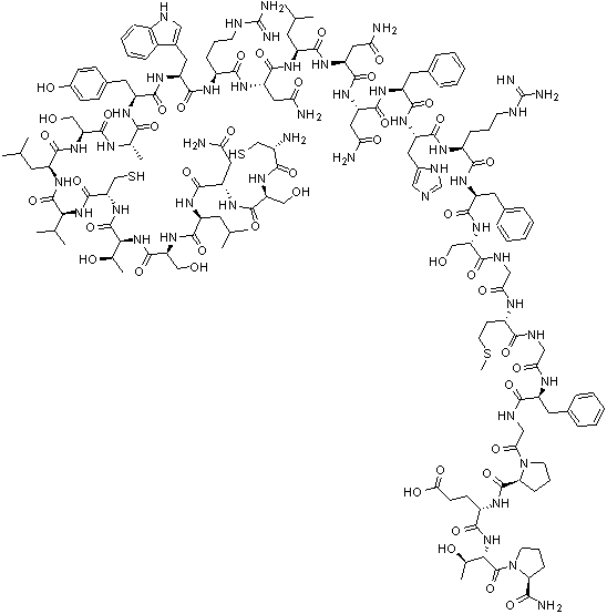
分子结构 CAS 登录号:12321-44-7, 降钙素(猪)
分子式 C159H234N46O45S3
分子量 3606.06
CAS 登录号 12321-44-7
EINECS 登录号 235-585-3
分子行输入简码 SMILES [C@H](NC(=O)[C@@H](NC(=O)[C@@H](NC(=O)[C@@H](NC(=O)[C@@H](NC(=O)[C@@H](NC(=O)[C@@H](NC(=O)[C@@H](NC(=O)[C@@H](NC(=O)[C@@H](NC(=O)[C@@H](NC(=O)[C@@H](NC(=O)[C@@H](N)CS)CO)CC(=O)N)CC(C)C)CO)[C@H](O)C)CS)C(C)C)CC(C)C)CO)C)CC1=CC=C(O)C=C1)(CC2=C[NH]C3=C2C=CC=C3)C(=O)N[C@H](C(=O)N[C@H](C(=O)N[C@H](C(=O)N[C@H](C(=O)N[C@H](C(=O)N[C@H](C(=O)N[C@H](C(=O)N[C@H](C(=O)N[C@H](C(=O)N[C@H](C(=O)NCC(=O)N[C@H](C(=O)NCC(=O)N[C@H](C(=O)NCC(=O)N5[C@H](C(=O)N[C@H](C(=O)N[C@H](C(=O)N4[C@@H](CCC4)C(=O)N)[C@H](O)C)CCC(=O)O)CCC5)CC6=CC=CC=C6)CCSC)CO)CC7=CC=CC=C7)CCCNC(=N)N)CC8=CN=C[NH]8)CC9=CC=CC=C9)CC(=O)N)CC(=O)N)CC(C)C)CC(=O)N)CCCNC(=N)N
国际化学标识码 InChI 1S/C159H234N46O45S3/c1-77(2)52-98(185-146(239)107(61-118(161)213)191-136(229)95(37-25-48-172-159(168)169)181-144(237)105(59-88-65-173-93-35-23-22-34-91(88)93)189-141(234)102(58-87-40-42-90(212)43-41-87)184-130(223)81(9)178-150(243)112(71-207)198-140(233)100(54-79(5)6)195-155(248)126(80(7)8)201-153(246)115(75-252)200-156(249)127(82(10)210)202-152(245)114(73-209)199-139(232)99(53-78(3)4)186-147(240)110(64-121(164)216)194-151(244)113(72-208)196-131(224)92(160)74-251)138(231)192-109(63-120(163)215)149(242)193-108(62-119(162)214)148(241)188-103(56-85-30-18-14-19-31-85)142(235)190-106(60-89-66-170-76-177-89)145(238)182-94(36-24-47-171-158(166)167)135(228)187-104(57-86-32-20-15-21-33-86)143(236)197-111(70-206)134(227)175-67-122(217)179-97(46-51-253-12)132(225)174-68-123(218)180-101(55-84-28-16-13-17-29-84)133(226)176-69-124(219)204-49-27-39-117(204)154(247)183-96(44-45-125(220)221)137(230)203-128(83(11)211)157(250)205-50-26-38-116(205)129(165)222/h13-23,28-35,40-43,65-66,76-83,92,94-117,126-128,173,206-212,251-252H,24-27,36-39,44-64,67-75,160H2,1-12H3,(H2,161,213)(H2,162,214)(H2,163,215)(H2,164,216)(H2,165,222)(H,170,177)(H,174,225)(H,175,227)(H,176,226)(H,178,243)(H,179,217)(H,180,218)(H,181,237)(H,182,238)(H,183,247)(H,184,223)(H,185,239)(H,186,240)(H,187,228)(H,188,241)(H,189,234)(H,190,235)(H,191,229)(H,192,231)(H,193,242)(H,194,244)(H,195,248)(H,196,224)(H,197,236)(H,198,233)(H,199,232)(H,200,249)(H,201,246)(H,202,245)(H,203,230)(H,220,221)(H4,166,167,171)(H4,168,169,172)/t81-,82+,83+,92-,94-,95-,96-,97-,98-,99-,100-,101-,102-,103-,104-,105-,106-,107-,108-,109-,110-,111-,112-,113-,114-,115-,116-,117-,126-,127-,128-/m0/s1
国际化学标识检索码 InChIKey FMPTWBWKJAJGSR-LJNLPFSOSA-N
安全数据
SDS 化学品安全技术说明书参考文本
市场分析报告
请浏览降钙素(猪)市场分析报告总目录
相关产品
3-甲基-6-(3-甲氧基-1-甲基-3-氧代-1...  N,N'-1,2-乙烷二基二[12-羟基-十八烷酰...  (16A,17B)-雌甾-1,3,5(10)-三烯...  alpha-(甲氧基亚胺)-2-[(三苯基甲基)氨...  碱式硫酸铬  L-苏氨酰-L-酪氨酰-L-异亮氨酰-S-(苯基甲...  1,3-二噻戊环-2,4,5-三硫酮  碳化锆  2,2,4-三甲基-1-戊醇  柠檬苦素17-beta-D-吡喃葡萄糖苷  (1R-(1alpha,4aalpha,5alph...  N-[2-[[4,5-二氰基-1-(2-烯丙基)-...  6-(癸基氨基)-1H-吲哚-4-甲醇  非多托秦  N-[2-[2-[2-[二(羧甲基)氨基]-5-(...