Online Database of Chemicals from Around the World

4-叠氮基苯丙氨酸(10)-蛋白质激酶抑制剂(6-22)酰胺
[CAS# 122756-41-6]

供应商
CAS#: 122756-41-6
产品: 4-叠氮基苯丙氨酸(10)-蛋白质激酶抑制剂(6-22)酰胺
暂时没有厂家供应该产品。
基本信息
产品名称 4-叠氮基苯丙氨酸(10)-蛋白质激酶抑制剂(6-22)酰胺
英文名 4-Azidophenylalanine(10)-Protein Kinase Inhibitor (6-22)Amide
别名 4-N3-Phe(10)-Pki (6-22)Nh2; L-Isoleucinamide, L-Threonyl-L-Tyrosyl-L-Alanyl-L-Alpha-Aspartyl-4-Azido-L-Phenylalanyl-L-Isoleucyl-L-Alanyl-L-Serylglycyl-L-Arginyl-L-Threonylglycyl-L-Arginyl-L-Arginyl-L-Asparaginyl-L-Alanyl-; Pki (6-22)Amide, 4-Azido-Phe(10)-
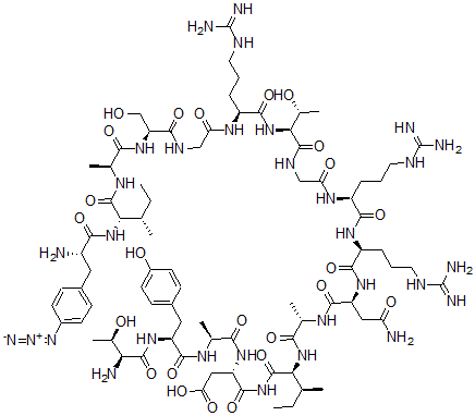
分子结构 CAS 登录号:122756-41-6, 4-叠氮基苯丙氨酸(10)-蛋白质激酶抑制剂(6-22)酰胺
分子式 C80H129N31O24
分子量 1909.09
CAS 登录号 122756-41-6
分子行输入简码 SMILES [C@H](C(=O)NC([C@@H](NC([C@@H](NC([C@@H](NC([C@@H](N)[C@@H](C)O)=O)CC1=CC=C(O)C=C1)=O)C)=O)CC(=O)O)=O)(NC([C@@H](NC([C@@H](NC([C@@H](NC([C@@H](NC(CNC([C@@H](NC([C@@H](NC(CNC([C@@H](NC([C@@H](NC([C@@H](NC([C@@H](N)CC2=CC=C(C=C2)N=[N+]=[N-])=O)[C@H](CC)C)=O)C)=O)CO)=O)=O)CCCNC(=N)N)=O)[C@@H](C)O)=O)=O)CCCNC(=N)N)=O)CCCNC(=N)N)=O)CC(=O)N)=O)C)=O)[C@H](CC)C
国际化学标识码 InChI 1S/C80H129N31O24/c1-10-36(3)60(107-66(124)47(81)29-43-18-22-45(23-19-43)110-111-90)76(134)98-39(6)64(122)105-54(35-112)67(125)94-33-56(117)100-49(16-13-27-92-79(86)87)70(128)108-62(42(9)114)75(133)95-34-57(118)99-48(15-12-26-91-78(84)85)68(126)101-50(17-14-28-93-80(88)89)69(127)103-52(31-55(82)116)72(130)97-40(7)65(123)106-61(37(4)11-2)77(135)109-73(131)53(32-58(119)120)102-63(121)38(5)96-71(129)51(104-74(132)59(83)41(8)113)30-44-20-24-46(115)25-21-44/h18-25,36-42,47-54,59-62,112-115H,10-17,26-35,81,83H2,1-9H3,(H2,82,116)(H,94,125)(H,95,133)(H,96,129)(H,97,130)(H,98,134)(H,99,118)(H,100,117)(H,101,126)(H,102,121)(H,103,127)(H,104,132)(H,105,122)(H,106,123)(H,107,124)(H,108,128)(H,119,120)(H4,84,85,91)(H4,86,87,92)(H4,88,89,93)(H,109,131,135)/t36-,37-,38-,39-,40-,41+,42+,47-,48-,49-,50-,51-,52-,53-,54-,59-,60-,61-,62-/m0/s1
国际化学标识检索码 InChIKey FLJKGOMXFGAKRA-ALJWVBQFSA-N
市场分析报告
请浏览4-叠氮基苯丙氨酸(10)-蛋白质激酶抑制剂(6-22)酰胺市场分析报告总目录
相关产品
2',3'-二脱氧-2',3'-二去氢-2'-氟胞...  3'-脱氧-2',3'-二去氢-2'氟胸苷  16-羟基-13-泪柏醚  Ulithiacyclamide B  4-甲基-8-亚甲基三环[3.3.1.1(3,7)...  美非沙胺盐酸盐  4,6-二乙基-1,3,4,5-四氢吡喃并(4,3...  3-(2-甲氧基苯基)-1H-2-苯并吡喃-1-酮  4-乙氧基-3-甲氧基苯甲酰肼  N-(2-吗啉-4-基乙基)-2-硝基-噻吩-3-...  三氯(环戊胺)铂酸酯(0)  四硫化四砷  2'-甲氧基-联苯-3-甲醛  2-苯基-2-(2-哌啶乙基)-3-甲基戊腈  1-环丙基肼基硫代甲酰胺