Online Database of Chemicals from Around the World

Fulvotomentoside A
[CAS# 122739-11-1]

Suppliers
CAS#: 122739-11-1
Product: Fulvotomentoside A
No suppilers available for the product.
Identification
Name Fulvotomentoside A
Synonyms [(2S,3R,4R,5S,6R)-3,4-Dihydroxy-6-(Hydroxymethyl)-5-[(2S,3R,4S,5S,6R)-3,4,5-Trihydroxy-6-(Hydroxymethyl)Tetrahydropyran-2-Yl]Oxy-Tetrahydropyran-2-Yl] (4As,6Ar,6As,6Br,10S,12Ar,14Br)-9-(Hydroxymethyl)-10-[(2S,3R,4S,5S)-5-Hydroxy-3-[(2S,3R,4R,5R,6S)-3,4,5-Trihydroxy-6-Methyl-Tetrahydropyran-2-Yl]Oxy-4-[(2R,3R,4S,5R)-3,4,5-Trihydroxytetrahydropyran-2-Yl]Oxy-Tetrahydropyran-2-Yl]Oxy-2,2,6A,6B,9,12A-Hexamethyl-1,3,4,5,6,6A,7,8,8A,10,11,12,13,14B-Tetradecahydropicene-4A-Carboxylate; (4As,6Ar,6As,6Br,10S,12Ar,14Br)-9-(Hydroxymethyl)-10-[[(2S,3R,4S,5S)-5-Hydroxy-3-[[(2S,3R,4R,5R,6S)-3,4,5-Trihydroxy-6-Methyl-2-Tetrahydropyranyl]Oxy]-4-[[(2R,3R,4S,5R)-3,4,5-Trihydroxy-2-Tetrahydropyranyl]Oxy]-2-Tetrahydropyranyl]Oxy]-2,2,6A,6B,9,12A-Hexamethyl-1,3,4,5,6,6A,7,8,8A,10,11,12,13,14B-Tetradecahydropicene-4A-Carboxylic Acid [(2S,3R,4R,5S,6R)-3,4-Dihydroxy-6-(Hydroxymethyl)-5-[[(2S,3R,4S,5S,6R)-3,4,5-Trihydroxy-6-(Hydroxymethyl)-2-Tetrahydropyranyl]Oxy]-2-Tetrahydropyranyl] Ester; (4As,6Ar,6As,6Br,10S,12Ar,14Br)-10-[(2S,3R,4S,5S)-5-Hydroxy-3-[(2S,3R,4R,5R,6S)-3,4,5-Trihydroxy-6-Methyl-Tetrahydropyran-2-Yl]Oxy-4-[(2R,3R,4S,5R)-3,4,5-Trihydroxytetrahydropyran-2-Yl]Oxy-Tetrahydropyran-2-Yl]Oxy-2,2,6A,6B,9,12A-Hexamethyl-9-Methylol-1,3,4,5,6,6A,7,8,8A,10,11,12,13,14B-Tetradecahydropicene-4A-Carboxylic Acid [(2S,3R,4R,5S,6R)-3,4-Dihydroxy-6-Methylol-5-[(2S,3R,4S,5S,6R)-3,4,5-Trihydroxy-6-Methylol-Tetrahydropyran-2-Yl]Oxy-Tetrahydropyran-2-Yl] Ester
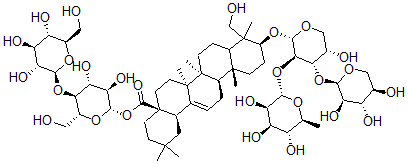
Molecular Structure CAS#: 122739-11-1, Fulvotomentoside A
Molecular Formula C58H94O26
Molecular Weight 1207.37
CAS Registry Number 122739-11-1
SMILES [C@@]56([C@@H]([C@@]4(C(C([C@@H](O[C@@H]2OC[C@H](O)[C@H](O[C@H]1OC[C@@H](O)[C@H](O)[C@H]1O)[C@H]2O[C@@H]3O[C@H]([C@H](O)[C@@H](O)[C@H]3O)C)CC4)(CO)C)CC5)C)CC=C7[C@]6(CC[C@@]8([C@@H]7CC(CC8)(C)C)C(O[C@@H]%10O[C@@H]([C@@H](O[C@@H]9O[C@@H]([C@@H](O)[C@H](O)[C@H]9O)CO)[C@H](O)[C@H]%10O)CO)=O)C)C
InChI 1S/C58H94O26/c1-24-34(64)37(67)41(71)48(77-24)83-46-44(81-47-40(70)35(65)27(62)21-75-47)28(63)22-76-51(46)80-33-11-12-54(4)31(55(33,5)23-61)10-13-57(7)32(54)9-8-25-26-18-53(2,3)14-16-58(26,17-15-56(25,57)6)52(74)84-50-43(73)39(69)45(30(20-60)79-50)82-49-42(72)38(68)36(66)29(19-59)78-49/h8,24,26-51,59-73H,9-23H2,1-7H3/t24-,26+,27+,28-,29+,30+,31?,32+,33-,34-,35-,36+,37+,38-,39+,40+,41+,42+,43+,44-,45+,46+,47+,48-,49-,50-,51-,54-,55?,56+,57+,58-/m0/s1
InChIKey UODCQSBZHQZMEW-NDVYAFTQSA-N
Properties
Density 1.502g/cm3 (Cal.)
Market Analysis Reports
List of Reports Available for Fulvotomentoside A
Related Products
Shijiaocaolactone A  4,5-Dideoxyshikimic Acid 3-Phosphate  1,3-Bis(P-Methoxyphenyl)Urea  1,3-Bis(4-Methoxyphenyl)Thiourea  Ethylenebis(Dithiocarbamic Acid)Nickel(I...  4-Azidophenylalanine(10)-Protein Kinase ...  2',3'-Dideoxy-2',3'-Didehydro-2'-Fluoroc...  3'-Deoxy-2',3'-Didehydro-2'Fluorothymidi...  16-Hydroxy-13-Manoyl Oxide  Ulithiacyclamide B  4-Methyl-8-Methylenetricyclo[3.3.1.1(3,7...  Mefexamide Hydrochloride  4,6-Diethyl-1,3,4,5-Tetrahydropyrano(4,3...  3-(2-Methoxyphenyl)-1H-2-Benzopyran-1-On...  4-Ethoxy-3-Methoxybenzohydrazide