Online Database of Chemicals from Around the World

2-甲基-2-丙基(1E)-1,3-丁二烯-1-基氨基甲酸酯
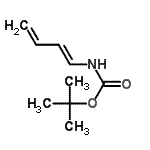
[CAS# 122690-65-7]

供应商
深圳爱拓化学有限公司 中国 询价快递  
+86 13417589054//+86 13424336463
info@atomaxchem.com,atomax.chemicals@gmail.com,
QQ 交流
化学品生产商
基本信息
产品名称 2-甲基-2-丙基(1E)-1,3-丁二烯-1-基氨基甲酸酯
英文名 2-Methyl-2-Propanyl (1E)-1,3-Butadien-1-Ylcarbamate
别名 (E)-tert-butyl buta-1,3-dien-1-ylcarbamate
分子结构 CAS 登录号:122690-65-7, 2-甲基-2-丙基(1E)-1,3-丁二烯-1-基氨基甲酸酯
分子式 C9H15NO2
分子量 169.22
CAS 登录号 122690-65-7
分子行输入简码 SMILES CC(C)(C)OC(=O)N\C=C\C=C
国际化学标识码 InChI 1S/C9H15NO2/c1-5-6-7-10-8(11)12-9(2,3)4/h5-7H,1H2,2-4H3,(H,10,11)/b7-6+
国际化学标识检索码 InChIKey DKBQOIAVVRJJJL-VOTSOKGWSA-N
物理化学性质
密度 0.95g/cm3 (计算值)
沸点 224.005°C at 760 mmHg (计算值)
闪点 89.275°C (计算值)
折射率 1.46 (计算值)
市场分析报告
请浏览2-甲基-2-丙基(1E)-1,3-丁二烯-1-基氨基甲酸酯市场分析报告总目录
相关产品
4-甲氧基-4-乙烯基-2,5-环己二烯-1-酮  N-甲氧基-N-甲基-N<sup>2</sup>-...  3,4-庚二烯-2-酮  1-(3-亚甲基-7-氧杂双环[2.2.1]庚-5...  1-(3-亚甲基-7-氧杂双环[2.2.1]庚-5...  1-(2-甲基-3-亚甲基-7-氧杂双环[2.2....  (6S,7aR)-6-氨基-5-氧代-5,6,7,...  (5R)-7-氧代-4-氧杂-1-氮杂双环[3.2...  甲基(1-甲氧基-2,2-二甲基丙基)氨基甲酸酯  2-甲基-2-丙基(3-羟基-1-甲氧基丙基)氨基...  (3R,4S)-3,4-二异丙基-2-氮杂环丁酮  (3R,4R)-3,4-二异丙基-2-氮杂环丁酮  N<sup>2</sup>-(氯乙酰基)-L-天冬...  二[氧代(二氧代)铌]铜(2+)  6-[(3-甲基丁基)硫基]-2(1H)-吡啶酮