Online Database of Chemicals from Around the World

(2E,6E,10E)-14-[(2-O-己糖吡喃糖苷己糖吡喃糖苷)氧基]-4-羟基-2,6,10,14-四甲基-2,6,10,15-十六碳四烯酸
[CAS# 121924-04-7]

供应商
CAS#: 121924-04-7
产品: (2E,6E,10E)-14-[(2-O-己糖吡喃糖苷己糖吡喃糖苷)氧基]-4-羟基-2,6,10,14-四甲基-2,6,10,15-十六碳四烯酸
暂时没有厂家供应该产品。
基本信息
产品名称 (2E,6E,10E)-14-[(2-O-己糖吡喃糖苷己糖吡喃糖苷)氧基]-4-羟基-2,6,10,14-四甲基-2,6,10,15-十六碳四烯酸
英文名 (2E,6E,10E)-14-[(2-O-Hexopyranosylhexopyranosyl)Oxy]-4-Hydroxy-2,6,10,14-Tetramethyl-2,6,10,15-Hexadecatetraenoic Acid
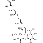
分子结构 CAS 登录号:121924-04-7, (2E,6E,10E)-14-[(2-O-己糖吡喃糖苷己糖吡喃糖苷)氧基]-4-羟基-2,6,10,14-四甲基-2,6,10,15-十六碳四烯酸
分子式 C32H52O14
分子量 660.75
CAS 登录号 121924-04-7
分子行输入简码 SMILES OC(=O)C(/C)=C/C(O)CC(\C)=C\CCC(\C)=C\CCC(C)(OC2OC(CO)C(O)C(O)C2OC1OC(CO)C(O)C(O)C1O)C=C
国际化学标识码 InChI 1S/C32H52O14/c1-6-32(5,12-8-11-17(2)9-7-10-18(3)13-20(35)14-19(4)29(41)42)46-31-28(26(39)24(37)22(16-34)44-31)45-30-27(40)25(38)23(36)21(15-33)43-30/h6,10-11,14,20-28,30-31,33-40H,1,7-9,12-13,15-16H2,2-5H3,(H,41,42)/b17-11+,18-10+,19-14+
国际化学标识检索码 InChIKey ISQUNAAALVXWGI-DFTZOVBQSA-N
物理化学性质
密度 1.344g/cm3 (计算值)
沸点 895.681°C at 760 mmHg (计算值)
闪点 278.189°C (计算值)
折射率 1.588 (计算值)
市场分析报告
请浏览(2E,6E,10E)-14-[(2-O-己糖吡喃糖苷己糖吡喃糖苷)氧基]-4-羟基-2,6,10,14-四甲基-2,6,10,15-十六碳四烯酸市场分析报告总目录
相关产品
(4-甲基-4H-噻吩并[3,2-b]吡咯-5-基...  4-甲基-4H-噻吩并[3,2-b]吡咯-5-甲醛  (4S)-2,2-二甲基-1,3-二恶烷-4-甲醛  2-甲基-N'-[(2E)-3-氧代-2-丁烷亚基...  (2-硫代-2,3-二氢-1,3-苯并噻唑-5-基...  1-(2-硫代-2,3-二氢-1,3-苯并噻唑-5...  (2R)-(1-乙酰基-1H-吡咯-2-基)(羟基...  1,3-苯并噻唑-2-基(羟基)乙腈  1-(6-甲基-1,4-环己二烯-1-基)乙酮  1-异丙基-3-丙基苯  1-[1-(苯磺酰基)-1H-吲哚-2-基]-1-...  3-氨基-1-甲基-1,3-二氢-2H-吲哚-2-...  1-(烯丙氧基)-1-乙炔基环戊烷  (2R)-羟基(4-异丙基苯基)乙腈  (2R)-羟基(2-甲氧基苯基)乙腈